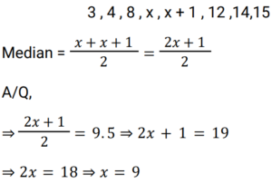
Mean, Median & Mode (Railway Maths) (Part – IV)Total Questions: 5031. Find the median of the given data. 20, 28, 32, 48, 20, 18, 16, 2, 30, 14 [RRB NTPC 21/03/2021 (Evening)](a) 24(b) 48(c) 20(d) 22Correct Answer: (c) 20Solution:32. Find the median of the given data. 25, 18, 20, 16, 8, 10, 15, 20, 13, 30 [RRB NTPC 27/03/2021 (Morning)](a) 30(b) 17(c) 20(d) 15Correct Answer: (b) 17Solution:33. The given data is arranged in ascending order. The median of the data is 63. Find the value of x. 29, 32, 48, 50, x, x + 2, 72, 78, 84, 95 [RRB NTPC 27/03/2021 (Morning)](a) 62(b) 64(c) 60(d) 63Correct Answer: (a) 62Solution:34. The median of observations k − 3/2, k + 2, k − 1, k + 4, k + 1/2, k − 3, k + 4 1/2 is ______. [RRB NTPC 01/04/2021 (Evening)](a) k − 3/2(b) k + 1/2(c) k − 1(d) k + 2Correct Answer: (b) k + 1/2Solution:35. Find the sum of the mean, the median and the mode of the given data.10, 8, 18, 12, 12, 12 [RRB NTPC 03/04/2021 (Evening)](a) 30(b) 24(c) 36(d) 12Correct Answer: (c) 36Solution:36. In the given data, if 22 is replaced by 52, find the difference between two medians. 26, 15, 8, 32, 18, 22 [RRB NTPC 03/04/2021 (Evening)](a) 2(b) 3(c) 5(d) 6Correct Answer: (a) 2Solution:37. A raw data is in ascending order i.e. 3, 4, 8, x, x + 1, 12, 14, 15. If the median of this data is 9.5, then the value of x is: [RRB NTPC 05/04/2021 (Morning)](a) 7(b) 9(c) 4(d) 11Correct Answer: (b) 9Solution:38. Given data is arranged in an ascending order. If the median is 10, then find the value of p. 3, 5, 6, 2p + 3, 3p + 2, 15, 25, 51. [RRB NTPC 06/04/2021 (Evening) ](a) 3(b) 27.5(c) 38(d) 2Correct Answer: (a) 3Solution:39. Histogram is used to find: [RRB NTPC 07/04/2021 (Evening)](a) arithmetic mean graphically(b) median, mode and mean graphically(c) median graphically(d) mode graphicallyCorrect Answer: (d) mode graphicallySolution:The histogram is a popular graphing tool. It is used to summarize discrete or continuous data that are measured on an interval scale. First described by Karl Pearson.40. Read the given data and answer the question that follows. 2, 5, 15, 25, 20, 12, 8, 7, 6, 16, 21, 17, 30, 32, 23, 40, 51, 15, 2, 9, 57, 19, 25. If the given data is grouped in the classes 0–5, 5–10, 10–15, and so on, then what will be the frequency of the class 20–25? [RRB NTPC 07/04/2021 (Evening)](a) 4(b) 3(c) 5(d) 2Correct Answer: (b) 3Solution:2,5,15,25,20,12,8,7,6,16,21,17, 30,32,23,40,51,15,2,9,57,19,25. The numbers lies between 20 - 25 = (20, 21, 23) The frequency of class 20 - 25 = 3Submit Quiz« Previous12345Next »