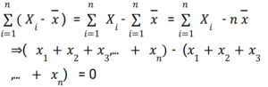
Mean, Median & Mode (Railway Maths) (Part – IV)Total Questions: 5041. Find the median and the mode for the following set of numbers. 2, 2, 3, 5, 5, 5, 6, 8, 9 [RRB NTPC 07/04/2021 (Evening)](a) Median = 5, Mode = 5(b) Median = 0, Mode = 9(c) Median = 2, Mode = 5(d) Median = 5, Mode = 2Correct Answer: (a) Median = 5, Mode = 5Solution:2, 2, 3, 5, 5, 5, 6, 8, 9 Median of the given data = 5 Mode = 542. The mean of x and y is 400 and the ratio of x to y is 3 : 7. What is the value of y − x? [RRB NTPC 07/04/2021 (Evening)](a) 130(b) 800(c) 320(d) 230Correct Answer: (c) 320Solution:43. What is the median of the following data? 78, 56, 22, 34, 45, 54, 39, 68, 54, 84 [RRB NTPC 08/04/2021 (Morning)](a) 55(b) 51(c) 54(d) 53Correct Answer: (c) 54Solution:Increasing order of the given data is 22, 34, 39, 45, 54, 54, 56, 68, 78, 84 Median = 5444. Find the mean of x + 77, x + 7, x + 5, x + 3 and x − 2. [RRB NTPC 08/04/2021 (Morning)](a) x − 3(b) x + 8(c) x − 8(d) x + 18Correct Answer: (d) x + 18Solution:45. If the standard deviation of a set of numbers is 3 and the arithmetic mean of these numbers is 6, what is the coefficient of variation of these numbers? [RRB NTPC 08/04/2021 (Morning)](a) 125(b) 75(c) 50(d) 100Correct Answer: (c) 50Solution:46. If mean of the following distribution is 26, then what is the value of k? [RRB NTPC 08/04/2021 (Evening) ](a) 8(b) 1(c) 4(d) 10Correct Answer: (c) 4Solution:47. Mean of the numbers 2,4,5,8,2 and 3 is m. The numbers 4, 3, 3, 5, m, 3 and p have mean m + 1, median q and mode r. What is the value of (p + q - r)? [RRB NTPC 08/04/2021 (Evening) ](a) 13(b) 21(c) 20(d) 14Correct Answer: (d) 14Solution:48. If the mean of observations x₁, x₂, x₃, …, xₙ is x̄, then: [RRB NTPC 24/07/2021 (Morning) ](a)(b)(c)(d)Correct Answer: (a)Solution:49. Mean of the given observations x + 1, x + 3, x + 5, x + 7 and x + 9 is 6 , then the value of x is: [RRB NTPC 24/07/2021 (Morning) ](a) 5(b) 6(c) 3(d) 1Correct Answer: (d) 1Solution:50. The following table gives a frequency distribution whose arithmetic mean is 33. Find the product of the possible values of K from the distribution. [RRB NTPC 24/07/2021 (Evening) ](a) 4(b) 3(c) 5(d) 2Correct Answer: (d) 2Solution:Submit Quiz« Previous12345