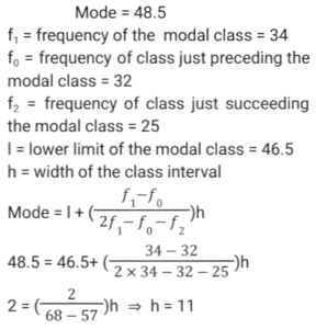
Mean, Median & ModeTotal Questions: 531. The runs scored by 11 players in the cricket match are as follows. [SSC CHSL Tier II (10/01/2024)]7, 16, 121, 51, 101, 81, 1, 16, 9, 11, 16 Calculate the median of the data.(a) 51(b) 11(c) 2(d) 16Correct Answer: (d) 16Solution:2. A set of data presented in the form of a frequency distribution table with class intervals and their respective frequencies had a mode of 48.5. The lower boundary of the modal class was 46.5; the frequency of the modal class was 34; the frequency of the class interval just preceding the modal class was 32 and the frequency of the class interval just succeeding the modal class was 25. What was the width of the modal class? [SSC CGL Tier II (26/10/2023)](a) 12(b) 10.5(c) 11(d) 10Correct Answer: (c) 11Solution:3. Calculate the mean from the following table. [SSC CPO 10/11/2022 (Evening)]ScoresFrequencies0 – 10210 – 20420 – 301230 – 402140 – 50650 – 60360 – 702(a) 33.4(b) 32.6(c) 35.8(d) 34.2Correct Answer: (a) 33.4Solution: 4. Let x be the median of data: 33, 42, 28, 49, 32, 37, 52, 57, 35, 41. If 32 is replaced by 36 and 41 by 63, then the median of the data, so obtained, is y. What is the value of (x + y) ? [SSC MTS 19/08/2019 (Evening)](a) 78(b) 78.5(c) 79.5(d) 79Correct Answer: (b) 78.5Solution:5. A set of data is given. The mean of the set is 35 while the median is set as 60. Find the mode of the data. [SSC MTS 14/08/2019 (Morning)](a) 25(b) 30(c) 20(d) 110Correct Answer: (d) 110Solution:6. The marks of Nine students in ascending order for a test are given below with Median as 34, the value of k is: 12, 16, k, 28, k + 5, 32, 39, 47, 53. [SSC MTS 09/08/2019 (Afternoon)](a) 29(b) 27(c) 30(d) 32Correct Answer: (a) 29Solution:7. What is the difference of mean and median of the given data? 4, 13, 8, 15, 9, 21, 18, 23, 35, 1? [SSC MTS 08/08/2019 (Morning)](a) 0.7(b) 1.7(c) 1.2(d) 2.1Correct Answer: (a) 0.7Solution:8. The data below shows the number of wickets taken by each bowler and the number of bowlers who took them. [SSC MTS 07/08/2019 (Afternoon)]What is the median of the number of wickets?(a) 3(b) 2(c) 4(d) 2.5Correct Answer: (b) 2Solution:9. In the data given below, the number of sixes and the batsmen who hit them, has been shown. [SSC MTS 06/08/2019 (Morning)]What is the median of the number of sixes ?(a) 3(b) 5(c) 4(d) 4.5Correct Answer: (a) 3Solution: will be 3.10. What is the mode of the given data 4, 3, 4, 3, 2, 2, 2, 5, 5, 3, 4, 6, 4, 3, 3 [SSC MTS 05/08/2019 (Afternoon)](a) 4(b) 3(c) 2(d) 5Correct Answer: (b) 3Solution:The mode is the number that is repeated most often. Here 3 is repeated the maximum number of times (5) so the mode will be 3.Submit Quiz123456Next »