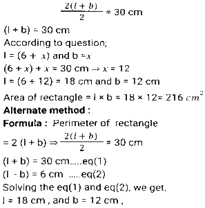
Mensuration (Part-10)Total Questions: 5041. There is a rectangular garden of 240 metres x 80 metres. A path of width 4 metres is build outside the garden along its four sides. What is the area of the path? [SSC CHSL 10/03/2023 (4th Shift)](a) 2826 metre²(b) 2542 metre²(c) 2916 metre²(d) 2624 metre²Correct Answer: (d) 2624 metre²Solution:42. The sum of the length, breadth, and height of a cuboid box is 20 cm and the total surface area of cuboid is 256 sq . cm. What is the maximum length (in approximate) of a stick that can be placed inside the cuboid box? [SSC CHSL 13/03/2023 (2nd Shift)](a) 32 cm(b) 24 cm(c) 16 cm(d) 12 cmCorrect Answer: (d) 12 cmSolution:43. X, Y and Z are three equilateral triangles. The sum of the areas of X and Y is equal to the area of Z. If the side lengths of X and Y are 6 cm and 8 cm respectively, then what is the side length of Z? [SSC CHSL 13/03/2023 (2nd Shift)](a) 10.5 cm(b) 10 cm(c) 9.5 cm(d) 9 cmCorrect Answer: (b) 10 cmSolution:44. An incircle with center O is drawn inside an equilateral triangle ABC and the length of the side is 12 cm. Find the area (in sq.cm) of the triangle which is not in the incircle. [SSC CHSL 13/03/2023 (2nd Shift)](a) 21.48(b) 30.64(c) 37.71(d) 24.64Correct Answer: (d) 24.64Solution:45. What is the area of a rhombus whose diagonals are of 8 cm and 13 cm? [SSC CHSL 13/03/2023 (4th Shift)](a) 52 cm²(b) 96 cm²(c) 44 cm²(d) 84 cm²Correct Answer: (a) 52 cm²Solution:46. If the radius of a sphere is thrice than the radius of a hemisphere, then what will be the respective ratio of their volumes ? [SSC CHSL 14/03/2023 (1st Shift)](a) 27 : 1(b) 16 : 1(c) 54 : 1(d) 18 : 1Correct Answer: (c) 54 : 1Solution:47. The ratio of the volume of the first and second cylinder is 32 : 9 and the ratio of their heights is 8 : 9. If the area of the base of the second cylinder is 616 cm², then what will be the radius of the first cylinder ? [SSC CHSL 14/03/2023 (2nd Shift)](a) 24 cm(b) 20 cm(c) 28 cm(d) 36 cmCorrect Answer: (c) 28 cmSolution:48. Half of the perimeter of a rectangle is 30 cm. If the length of the rectangle is 6 cm more than its breadth, then what is the area of the rectangle? [SSC CHSL 14/03/2023 (4th Shift)](a) 216 cm²(b) 250 cm²(c) 185 cm²(d) 195 cm²Correct Answer: (a) 216 cm²Solution:49. If the square of product of three sides of the triangle is 1024 units and the area of its circumcircle is 16π, what is the area of the given triangle? [SSC CHSL 15/03/2023 (1st Shift)](a) 2 sq . units(b) 3 sq . units(c) 2.5 sq . units(d) 4 sq . unitsCorrect Answer: (a) 2 sq . unitsSolution:50. The breadth of a rectangular floor is 3/5 of its length. If the area of the floor is 60 meter², then what is the diffrence between the length and breadth of the floor? [SSC CHSL 15/03/2023 (2nd Shift)](a) 6 m(b) 7.5 m(c) 5m(d) 4 mCorrect Answer: (d) 4 mSolution:Submit Quiz« Previous12345