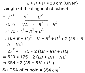
Mensuration (Part-13)Total Questions: 5011. A rectangular water tank is 1.5 m high, 3m long and 3.5 m wide. How much water (in litres) can it hold? [SSC CHSL 25/05/2022 (Evening)](a) 13520(b) 14510(c) 15750(d) 11780Correct Answer: (c) 15750Solution:12. What is the volume of the largest right circular cone that can be cut out from a cube whose edge is 10 cm ? [SSC CHSL 26/05/2022 (Morning)](a)(b)(c)(d)Correct Answer: (a)Solution:13. 15 identical solid spherical balls of radius 5 cm are melted to form a single sphere. In this process, 35% of the mass is wasted. What is the radius (in cm) of the single sphere that is now formed? [Use π = 22/7 and give your answer correct to two decimal places.] [SSC CHSL 26/05/2022 (Evening)](a) 12.68(b) 16.68(c) 10.68(d) 34.68Correct Answer: (c) 10.68Solution:14. As air is pumped into a spherical balloon, its radius increases from 7 cm to 14 cm. Find the ratio of volume of the balloon's in both circumstances. [SSC CHSL 27/05/2022 (Morning)](a) 2:5(b) 1:9(c) 1:8(d) 3:7Correct Answer: (c) 1:8Solution:15. A solid right-circular cylinder, whose radius of the base is 15 cm and height is 12 cm, is melted and moulded into the solid right-circular cone, whose radius of the base is 24 cm. What will be the height of this cone? [SSC CHSL 27/05/2022 (Evening)](a) 14.0625 cm(b) 14.0675 cm(c) 14.6025 cm(d) 14.0525 cmCorrect Answer: (a) 14.0625 cmSolution:16. A solid toy is in the shape which is a combination of a cylinder, cone and a hemispherical bowl. The cylinder contributes to 50% of the total volume of the toy, the cone contributes to 20% of the volume. Find the ratio of the contribution (in terms of volume) of the cone, cylinder and hemisphere. [SSC CHSL 30/05/2022 (Afternoon)](a) 2:3:5(b) 5:2:3(c) 2:5:3(d) 4:5:3Correct Answer: (c) 2:5:3Solution:17. What is the volume (cm³)of a right circular cylinder whose curved surface area is 12π cm² and the circumference of its base is 4π cm ? [SSC CHSL 30/05/2022 (Evening)](a) 48π(b) 36π(c) 12π(d) 24πCorrect Answer: (c) 12πSolution:18. The sum of the length, breadth and depth of a cuboid is 23 cm, and its diagonal is 5√7 cm. Its total surface area (cm²) is: [SSC CHSL 31/05/2022 (Morning)](a) 144(b) 354(c) 188(d) 111Correct Answer: (b) 354Solution:19. A cone-shaped temple top has slant height of 10 m and radius of base is 11 m. Find the total cost for painting its curved surface area at the rate of ₹7/m². [SSC CHSL 31/05/2022 (Afternoon)](a) ₹2440(b) ₹2040(c) ₹2420(d) ₹2240Correct Answer: (c) ₹2420Solution:20. The area of a triangle is 96cm² and the length of one of its sides is 24 cm. What is the length of the perpendicular drawn to this side of the triangle from the opposite vertex? [SSC CHSL 01/06/2022 (Morning)](a) 16 cm(b) 8 cm(c) 4 cm(d) 12 cmCorrect Answer: (b) 8 cmSolution:Submit Quiz« Previous12345Next »