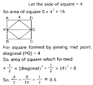
Mensuration (Part-14)Total Questions: 5011. The area of a square is S and that of the square formed by joining the mid points of the given square is A. Then the value of A/S is equal to: [SSC MTS 05/10/2021 (Morning)](a) 0.25(b) 0.5(c) 0.125(d) 1.25Correct Answer: (b) 0.5Solution:12. A container in the shape of a right circular cone, whose radius and depth are equal, gets completely filled by 128000 spherical droplets, each of diameter 2mm. What is the radius (in cm) of the container? [SSC MTS 05/10/2021 (Morning)](a) 6(b) 4(c) 8(d) 2Correct Answer: (c) 8Solution:13. The total surface area of a solid right circular cylinder of height 13 cm, is 880 cm². Its volume (in cm³) is 11k. The value of k is: [SSC MTS 05/10/2021 (Morning)](a) 208(b) 182(c) 104(d) 91Correct Answer: (b) 182Solution:14. The area of a parallelogram ABCD is 300 cm². The distance between AB and CD is 20cm and the distance between BC and AD is 30cm. What is the perimeter (in cm) of the parallelogram? [SSC MTS 05/10/2021 (Evening)](a) 60(b) 50(c) 40(d) 100Correct Answer: (b) 50Solution:15. The radii of the circular ends of a frustum of a cone are 20 cm and 13 cm and its height is 12 cm. What is the capacity (in litres) of the frustum(correct to one decimal place)? (Use π = 22/7) [SSC MTS 06/10/2021 (Morning)](a) 10.4(b) 11.2(c) 10.8(d) 11.4Correct Answer: (a) 10.4Solution:16. If the width of the path around a square field is 4.5 m and the area of the path is 252 m², then the length of the side of the field is: [SSC MTS 06/10/2021 (Morning)](a) 9.5 m(b) 9m(c) 8m(d) 8.5 mCorrect Answer: (a) 9.5 mSolution:17. A solid metal cube of edge 12 cm is immersed completely in water in a cylindrical vessel whose radius is 20 cm and height is 32 cm, and the water in the vessel is up to a height of 15 cm. The height(in cm) by which the water will rise in the vessel is (correct to one decimal place): [SSC MTS 06/10/2021 (Evening)](a) 0.9(b) 1.4(c) 1.2(d) 1.1Correct Answer: (b) 1.4Solution:18. From each of the four corners of a rectangular sheet of dimensions 48 cm x 27 cm, a square of side 3.5 cm is cut off and a box is made. The volume of the box is: [SSC MTS 07/10/2021 (Morning)](a) 2880(b) 2780(c) 2870(d) 2860Correct Answer: (c) 2870Solution:19. The internal dimensions of a rectangular closed wooden box are 30 cm, 18cm and 23cm,. What space (in cm³) will it occupy, if the wood used is 1cm thick? [SSC MTS 08/10/2021 (Morning)](a) 12420(b) 16000(c) 14136(d) 9408Correct Answer: (b) 16000Solution:20. A solid metallic cylinder with a base radius of 3 cm and a height of 120 cm is melted and recast into a sphere of radius r cm. What is the value of r if there is a 10% metal loss in the conversion? [SSC MTS 08/10/2021 (Afternoon)](a) 9(b) 8(c) 13.5(d) 12Correct Answer: (a) 9Solution:Submit Quiz« Previous12345Next »