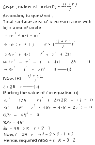
Mensuration (Part-3)Total Questions: 5031. Find the volume of the largest right circular cone which is inscribed in a hollow cube of length 6 units and is standing on its base. [SSC MTS 21/10/2024 (Afternoon)](a) 18π units³(b) 9π units³(c) 21π units³(d) 10π units³Correct Answer: (a) 18π units³Solution:32. A cylindrical vessel of height 14 cm has outer and inner radii 14 cm and 10 cm, respectively. It is to be filled by transferring water in it by using a small cylinder of height 7 cm and outer and inner radii 7 cm and 5 cm, respectively. What will be the unfilled height of the big vessel after transferring water 6 times by using the smaller cylinder? (Use π = 22/7) [SSC MTS 21/10/2024 (Evening)](a) 2.2 cm(b) 3.5 cm(c) 2.9 cm(d) 3.8 cmCorrect Answer: (b) 3.5 cmSolution:33. A cylindrical tube, which is open at both ends, is crafted from a metal. The internal diameter of the tube is 12 cm, and its length is 35 cm. The metal throughout has a thickness of 2 cm. Determine the total surface area (in cm²) of the metal tube. (Take π = 22/7) [SSC MTS 22/10/2024 (Morning)](a) 3696(b) 3256(c) 3854(d) 3145Correct Answer: (b) 3256Solution:34. The perimeter of a rhombus is 160 cm and one of its diagonals has a length 50 cm. Find the area (in cm²) of the rhombus. [SSC MTS 22/10/2024 (Morning)](a) 280√39(b) 300√39(c) 250√39(d) 175√39Correct Answer: (c) 250√39Solution:35. The diagonals of two squares are in the ratio of 5: 6. What is the ratio of their areas ? [SSC MTS 22/10/2024 (Afternoon)](a) 18:20(b) 25:36(c) 23:18(d) 2:3Correct Answer: (b) 25:36Solution:36. An ice-cream cone with a lid has a total surface area equal to the area of another circle of certain radius. If the radius of the circle is equal to average of the slant height and the radius of the cone, then the ratio of the slant height of the cone to the radius of the circle is: [SSC MTS 23/10/2024 (Morning)](a) 3:1(b) 2:3(c) 3:2(d) 1:3Correct Answer: (c) 3:2Solution:37. The diameter of a hollow hemisphere is 30 cm. Water is filled in it up to its brim. When spherical lead shots each of radius 0.75 cm are dropped into the hemisphere, two-fifth of the water flows out. How many lead shots were dropped into the hemisphere ? [SSC MTS 29/10/2024 (Evening)](a) 1575(b) 2250(c) 1600(d) 1380Correct Answer: (c) 1600Solution:38. In a conical tent of diameter 13.2 m and vertical height 14 m, how many full bags of wheat can be emptied, if the space required for the wheat in each bag 22 is 29.04 m³? [Userπ = 22/7) [SSC MTS 30/10/2024 (Afternoon)](a) 25(b) 28(c) 22(d) 21Correct Answer: (c) 22Solution:39. What is the radius of the largest right circular cone that can be cut out from a cube of edge 8.4 cm? [SSC MTS 12/11/2024 (Morning)](a) 4.1 cm(b) 4.2 cm(c) 2.2 cm(d) 2.1 cmCorrect Answer: (b) 4.2 cmSolution:40. A right circular solid metallic cone is 7.2 cm high and radius of its base 3.5 cm. It is melted and recast into two right circular solid metallic cones equal in all respects, each with base radius 2.1 cm and height 'h'. What is the value of 'h' (in cm)? [SSC MTS 13/11/2024 (Morning)](a) 14(b) 10(c) 21(d) 12Correct Answer: (b) 10Solution:Submit Quiz« Previous12345Next »