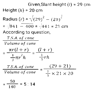
Mensuration (Part-8)Total Questions: 5011. If the slant height of a cone is 29 cm and its height is 20 cm, find the ratio between the magnitudes of total surface area and the volume. [SSC CPO 05/10/2023 (3rd Shift)](a) 3 : 7(b) 3 : 14(c) 5 : 14(d) 7 : 15Correct Answer: (c) 5 : 14Solution:12. The radius of a metallic spherical ball is 3 cm. If the metallic ball is melted and recast into x number of hemispheres of radius equal to half the radius of the metallic spherical ball, then find the value of x. [SSC CPO 05/10/2023 (3rd Shift)](a) 14(b) 16(c) 13(d) 15Correct Answer: (b) 16Solution:13. A hollow cylindrical tube made of plastic is 3 cm thick. If the external diameter is 20 cm and length of the tube is 49 cm, find the volume of the plastic. [SSC CPO 05/10/2023 (3rd Shift)](a) 7644 cm³(b) 7238 cm³(c) 7854 cm³(d) 7546 cm³Correct Answer: (c) 7854 cm³Solution:14. The diameter of a metallic sphere is 6 cm. It is melted and drawn into a wire having a diameter of the cross section as 0.4 cm. Find the length of the wire (in meters). [SSC MTS 01/09/2023 (1st Shift)](a) 18(b) 9(c) 12(d) 10Correct Answer: (b) 9Solution:15. From a cuboid of dimension of 8 x 6 x 6 units, small cubes of dimension 0.5 x 0.5 x 0.5 unit are cut. How many small cubes can be cut from the big cuboid? [SSC MTS 01/09/2023 (3rd Shift)](a) 576(b) 1152(c) 2304(d) 1552Correct Answer: (c) 2304Solution:16. The radius and the height of a right circular cone are in the ratio 3: 4. If its volume is 301.44m³, find the slant height (use π = 3.14). [SSC MTS 04/09/2023 (1st Shift)](a) 5 cm(b) 20 cm(c) 10 cm(d) 15 cmCorrect Answer: (c) 10 cmSolution:17. Water is pouring into a cuboidal reservoir at the rate of 50 litres per minute. The volume of the reservoir is 120 m³. How many hours will it take to fill the reservoir ? [SSC MTS 04/09/2023 (3rd Shift)](a) 35(b) 45(c) 40(d) 30Correct Answer: (c) 40Solution:18. Using the middle points of sides of a square with an area of 36 square units, another square is made. What is the area of a new square made in square units? [SSC MTS 05/09/2023 (2nd Shift)](a) 24(b) 27(c) 18(d) 21Correct Answer: (c) 18Solution:19. The length of the median of an equilateral triangle is 6√3 cm. The area of the triangle is: [SSC MTS 05/09/2023 (3rd Shift)](a) 36√3 cm²(b) 36 cm²(c) 72 cm²(d) 72√3 cm²Correct Answer: (a) 36√3 cm²Solution:20. The areas of three adjacent faces 2 of a cuboid are p, q and r unit², respectively. What is its volume? [SSC MTS 06/09/2023 (3rd Shift)](a)(b)(c)(d)Correct Answer: (b)Solution:Submit Quiz« Previous12345Next »