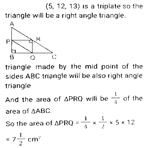
Mensuration (Part-8)Total Questions: 5021. A cylinder has a total surface area of 64n square units, where the height of the cylinder is equal to its radius. If the height is doubled and the radius is halved, then the total surface area of the new cylinder is________square units. [SSC MTS 08/09/2023 (3rd Shift)](a) 54π(b) 40π(c) 64π(d) 48πCorrect Answer: (b) 40πSolution:22. A hollow metal sphere of internal and external radii 5 cm and 6 cm, respectively, is melted into a solid cone of base radius 5.2 cm. What is the height (in cm, rounded off to 1 decimal place) of the cone? [SSC MTS 11/09/2023 (1st Shift)](a) 11.8(b) 12.8(c) 13.5(d) 14.5Correct Answer: (c) 13.5Solution:23. Find the area (in cm²) of the rhombus, lengths of whose diagonals are, respectively, 7.5 cm and 5.6 cm. [SSC MTS 11/09/2023 (3rd Shift)](a) 21(b) 28(c) 27(d) 30Correct Answer: (a) 21Solution:24. If a hollow sphere of an external and internal diameters of 6 cm and 4 cm, respectively, is melted into a cone of base diameter 8 cm, then the height of the cone is: [SSC MTS 12/09/2023 (1st Shift)](a)(b)(c)(d)Correct Answer: (a)Solution:25. A conical tent is set to accommodate 15 persons. Each person must have 5 square metres of space on the ground and 30 cubic metres of air to breathe. What is the height of the cone? [SSC MTS 12/09/2023 (2nd Shift)](a) 15 m(b) 22 m(c) 13m(d) 18 mCorrect Answer: (d) 18 mSolution:26. A solid metallic cuboid of length 11 cm, breadth 8 cm and height 6 cm is melted and reshaped to form a cone of height 14 cm. What is the radius of the cone thus formed? [SSC MTS 13/09/2023 (3rd Shift)](a) 6 cm(b) 9 cm(c) 7 cm(d) 8 cmCorrect Answer: (a) 6 cmSolution:27. The length, breadth and height of a cuboid are in the ratio of 6:4:3. If the total surface area of the cuboid is 972 cm², what is the length (in cm) of the diagonal of the cuboid ? [SSC MTS 14/09/2023 (1st Shift)](a)(b)(c)(d)Correct Answer: (b)Solution:28. A triangle has its sides 5 cm, 12 cm and 13 cm. What will be the area of the triangle formed by joining the mid point of the three sides? [SSC MTS 14/09/2023 (2nd Shift)](a)(b)(c)(d)Correct Answer: (a)Solution:29. The height of a right circular cone is 20 cm, and its base diameter is 30 cm. What is the curved surface area and the total surface area of the right circular cone, respectively? [SSC MTS 14/09/2023 (2nd Shift)](a) 335π cm² and 525π cm²(b) 390π cm² and 475π cm²(c) 450π cm² and 625π cm²(d) 375π cm² and 600π cm²Correct Answer: (d) 375π cm² and 600π cm²Solution:30. Aman wants to get his spherical overhead water tank having a diameter of 7 m, painted. If the cost of painting is 13 per square metre, find the cost of painting Aman's spherical overhead 22 water tank. (Use π = 22/7) [SSC CHSL 02/08/2023 (2nd Shift)](a) ₹1,872(b) ₹1,984(c) ₹2,002(d) ₹1,926Correct Answer: (c) ₹2,002Solution:Submit Quiz« Previous12345Next »