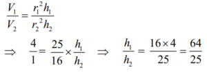
MENSURATION (QUANTITATIVE APTITUDE) EPFO UPSCTotal Questions: 3011. The perimeter of a triangle is 40cm and its area is 60 cm². If the largest side measures 17cm, then the length (in cm) of the smallest side of the triangle is(a) 4(b) 6(c) 8(d) 15Correct Answer: (c) 8Solution:12. Answer the following question(a) 7(b) 10(c) 11(d) 14Correct Answer: (a) 7Solution:13. Water is flowing at the rate of 5 km/h through a pipe of diameter 14cm into a rectangular tank which is 50 m long, 44m wide. The time taken, in hours, for the rise in the level of water in the tank to be 7 cm is(a) 2(b) 1½(c) 3(d) 2½Correct Answer: (a) 2Solution:14. The wheel of a motor car makes 1000 revolutions in moving 440 m. The diameter (in metre) of the wheel is(a) 0.44(b) 0.14(c) 0.24(d) 0.34Correct Answer: (b) 0.14Solution:15. The sides of a triangles are in the ratio 2:3:4. the perimeter of the triangle is 18cm. The area (in cm²) of the triangle is(a) 9(b) 36(c) √42(d) 3√15Correct Answer: (d) 3√15Solution:16. Diagonal of a cube is 6√3 cm. Ratio of its total surface area and volume (numerically) is:(a) 2 : 1(b) 1 : 6(c) 1 : 1(d) 1 : 2Correct Answer: (c) 1 : 1Solution:17. The ratio of in radius and circumradius of a square is :(b) 1 : √2(a) 1 : 2(c) √2 : √3(d) 1 : 3Correct Answer: (b) 1 : √2Solution:18. Answer the following question(a)(b)(c)(d)Correct Answer: (c)Solution:19. A godown is 15 m long and 12 m broad. The sum of the areas of the floor and the ceiling is equal to the sum of areas of the four walls. The volume (in m³) of the godown is:(a) 900(b) 1200(c) 1800(d) 720Correct Answer: (b) 1200Solution:20. If the volumes of two right circular cones are in the ratio 4 : 1 and their diameters are in the ratio 5 : 4 then the ratio of their heights is :(a) 25: 16(b) 25: 64(c) 64 : 25(d) 16: 25Correct Answer: (c) 64 : 25Solution:Submit Quiz« Previous123Next »