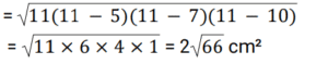
Mensuration (Railway Maths) (Part – I)Total Questions: 5041. The diagonal of a quadrilateral is 32 m long, and its two offsets are 6 m and 10 m long. The area of the quadrilateral is: [Group D 22/08/2022 (Morning)](a) 256 m²(b) 220 m²(c) 276 m²(d) 250 m²Correct Answer: (a) 256 m²Solution:42. A triangle has sides of length 5 cm, 7 cm, and 10 cm. Find the area of the triangle (in cm²). [Group D 22/08/2022 (Morning)](a) 350(b) 2√66(c) 25(d) 7√10Correct Answer: (b) 2√66Solution:43. In a right-angled triangle, if the hypotenuse is 4 units greater than one side and 8 units greater than the other, then find the area of the triangle. [Group D 22/08/2022 (Afternoon)](a) 100 sq. units(b) 32 sq. units(c) 96 sq. units(d) 16 sq. unitsCorrect Answer: (c) 96 sq. unitsSolution:44. If the radius of a sphere is increased by 2 cm, then its surface areaincreases by 704 cm². Using (π = 22/7), find the radius of the sphere before the increase. [Group D 22/08/2022 (Evening) ](a) 16 cm(b) 14 cm(c) 15 cm(d) 13 cmCorrect Answer: (d) 13 cmSolution:45. A cuboidal block, 12 cm by 24 cm by 30 cm, is cut up into an exact number of identical cubes. The least possible number of such cubes is: [Group D 22/08/2022 (Evening)](a) 45(b) 40(c) 55(d) 50Correct Answer: (b) 40Solution:46. Find the area of a rhombus whose diagonals are 12 cm and 15 cm long. [Group D 23/08/2022 (Morning)](a) 45 cm²(b) 60 cm²(c) 90 cm²(d) 80 cm²Correct Answer: (c) 90 cm²Solution:47. If the area of an equilateral triangle is 25√3 cm², then the length of each side of the triangle is: [Group D 23/08/2022 (Afternoon)](a) 12 cm(b) 5 cm(c) 8 cm(d) 10 cmCorrect Answer: (d) 10 cmSolution:48. If the surface area of a sphere is 36π cm², then the radius of the sphere is: [Group D 23/08/2022 (Afternoon)](a) 3 cm(b) 4 cm(c) 5 cm(d) 2 cmCorrect Answer: (a) 3 cmSolution:49. Find the length of the side of an equilateral triangle whose area is 4√3 square units. [Group D 23/08/2022 (Evening)](a) 2 units(b) 3 units(c) 16 units(d) 4 unitsCorrect Answer: (d) 4 unitsSolution:50. The length of a cuboidal room is 15m, breadth 17m and height 21m. Find the cost of painting its walls and ceiling at the rate of ₹40/m 2 ? [Group D 23/08/2022 (Evening) ](a) ₹44,250(b) ₹ 63,960(c) ₹58,912(d) ₹ 285,126Correct Answer: (b) ₹ 63,960Solution:Submit Quiz« Previous12345