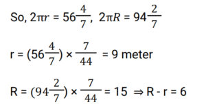
Mensuration (Railway Maths) (Part – IX)Total Questions: 5011. If the circumference and area of a circle are numerically equal then the radius of the circle is: [RRB NTPC 01/04/2021 (Morning)](a) 4 units(b) 2 units(c) 16 units(d) 1 unitCorrect Answer: (b) 2 unitsSolution:Circumference and Area of a circle are numerically equal. ⇒ π𝑅²= 2π𝑅 ⇒ 𝑅 = 2 𝑢𝑛𝑖𝑡12. A rectangular box has sides 3, 4 and 5 cm. What will be the maximum length of a stick that can be placed inside the box? [RRB NTPC 01/04/2021 (Evening)](a) 5 cm(b) 4 cm(c) 2√5 cm(d) 5√2 cmCorrect Answer: (d) 5√2 cmSolution:13. The area of a circle is equal to the area of a square. What is the ratio of the circumference of the circle to the perimeter of the square? [RRB NTPC 01/04/2021 (Evening)](a) √2π : 1(b) √π : 2(c) π : 2(d) 2 : √πCorrect Answer: (b) √π : 2Solution:14. A spherical ball of 12 cm diameter is melted and cast into a cone, the base of which has a diameter of 8 cm. What is the height of the cone? [RRB NTPC 01/04/2021 (Evening)](a) 42 cm(b) 36 cm(c) 54 cm(d) 48 cmCorrect Answer: (c) 54 cmSolution:15. A hemispherical bowl of internal radius of 12 cm contains a Liquid. This liquid is to be filled into conical shaped small bottles of base diameter 3 cm and height 4 cm. How many same types of bottles will be needed to empty the bowl? [RRB NTPC 03/04/2021 (Morning) ](a) 520(b) 384(c) 438(d) 400Correct Answer: (b) 384Solution:16. The perimeters of two squares are 48 cm and 60 cm. Find the perimeter of a third square whose area is equal to the difference of the area of the squares. [RRB NTPC 03/04/2021 (Morning) ](a) 32 cm(b) 44 cm(c) 36 cm(d) 40 cmCorrect Answer: (c) 36 cmSolution:17. The Capacity of a cylindrical tank is 38,500 litres. If the height is 4 metres, then what is the diameter of the base? [RRB NTPC 03/04/2021 (Morning) ](a) 7 m(b) 3.5 m(c) 17.5 m(d) 1.75 mCorrect Answer: (b) 3.5 mSolution:18. Find the answer of given question? [RRB NTPC 03/04/2021 (Morning) ](a) 2 m(b) 6 m(c) 9 m(d) 3 mCorrect Answer: (b) 6 mSolution:19. In a quadrilateral, the length of one of its diagonals is 23 cm and the perpendiculars drawn on this diagonal from other two vertices measure 17 cm and 7 cm respectively. Find the area of the quadrilateral. [RRB NTPC 03/04/2021 (Evening)](a) 276 cm²(b) 376 cm²(c) 300 cm²(d) 286 cm²Correct Answer: (a) 276 cm²Solution:20. Find the area of the greatest square that can be inscribed in a circle of circumference 44 cm. [RRB NTPC 03/04/2021 (Evening)](a) 49√2 cm²(b) 196 cm²(c) 49 cm²(d) 98 cm²Correct Answer: (d) 98 cm²Solution:Submit Quiz« Previous12345Next »