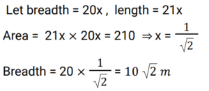
Mensuration (Railway Maths) (Part – IX)Total Questions: 5021. The perimeter of a square and circumference of a circle are the same. What is the ratio of the area of the square to that of the circle? [RRB NTPC 05/04/2021 (Morning)](a) π : 4(b) 4 : π(c) 2 : π(d) π : 2Correct Answer: (a) π : 4Solution:22. If a cube of side 20 cm is divided into smaller cubes of side 4 cm, then what is the total number of smaller cubes? [RRB NTPC 05/04/2021 (Morning)](a) 64(b) 125(c) 100(d) 27Correct Answer: (b) 125Solution:23. Find the volume of a cuboid, if its length is 2 times more than its breadth and the breadth is 12 cm which is twice its height. [RRB NTPC 05/04/2021 (Evening)](a) 2952 cm³(b) 2692 cm³(c) 2592 cm³(d) 2295 cm³Correct Answer: (c) 2592 cm³Solution:L = 12 + 24 = 36 cm, b = 12 cm , h = 6 cm Volume of the cuboid = l × b × h = 36 × 12 × 6 = 2592 cm³24. If the length, breadth and height of a room are 30 m, 20 m and 40 m respectively, then what will be the area of the four walls of the room? [RRB NTPC 05/04/2021 (Evening)](a) 3600 m²(b) 4000 m²(c) 4500 m²(d) 1800 m²Correct Answer: (b) 4000 m²Solution:Given, length = 30 m, breadth = 20 m and height = 40 m Area of the four wall = 2 (l + b )h Area of the four wall = 2 (30 + 20) × 40 = 4000 m²25. In a right circular cylinder, the ratio of the curved surface area to the total surface area is 2 : 5. Find the ratio of the height to radius of the cylinder. [RRB NTPC 06/04/2021 (Morning)](a) 3 : 4(b) 2 : 5(c) 5 : 3(d) 2 : 3Correct Answer: (d) 2 : 3Solution:26. The length of a rectangular solar panel is 5% more than its breadth. If the area of the solar panel is 210 m², find its breadth. [RRB NTPC 06/04/2021 (Morning)](a) 210 m(b) 20√2 m(c) 10√2 m(d) 10 mCorrect Answer: (c) 10√2 mSolution:27. Which one of the following triplets can be the measures of the sides of a triangle? [RRB NTPC 06/04/2021 (Morning)](a) 1, 2, 4(b) 11, 3, 7(c) 1, 1.5, 3(d) 5, 7, 4Correct Answer: (d) 5, 7, 4Solution:Here from the given options only the triplet : 5, 7, 4 can be the measures of the sides of a triangle. Because 5 + 7 > 4 , 7 + 4 > 5 and also 5 + 4 > 7 ;28. If the radius of a sphere is tripled, then its surface area is increased by: [RRB NTPC 06/04/2021 (Morning)](a) 800%(b) 400%(c) 300%(d) 900%Correct Answer: (a) 800%Solution:29. A semicircle has been drawn on the length of a rectangle. The area of the shaded region in the figure is: [RRB NTPC 06/04/2021 (Evening) ](a) 129 cm²(b) 63 cm²(c) 14 cm²(d) 77 cm²Correct Answer: (b) 63 cm²Solution:30. A path, 5m, wide runs around and outside a rectangular plot of land of length 10 m and breadth 8m. The area of path is: [RRB NTPC 07/04/2021 (Morning) ](a) 280 m²(b) 380 m²(c) 260 m²(d) 160 m²Correct Answer: (a) 280 m²Solution:Area of path = (10 + 5 + 5) × (8 + 5 + 5) - 10 × 8 = 360 - 80 ⇒ 280 m²Submit Quiz« Previous12345Next »