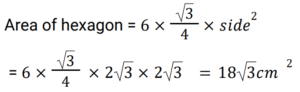
Mensuration (Railway Maths) (Part – V)Total Questions: 5031. The area of a trapezium is 1792 cm² and the perpendicular between its parallel sides is 28 cm. If the length of one of the parallel sides is 72 cm, then find the length of the other side. [Level 2 (16/06/2022) Shift 2](a) 48 cm(b) 56 cm(c) 64 cm(d) 84 cmCorrect Answer: (b) 56 cmSolution:32. Find the total surface area (in m²) of a right circular cone whose radius of base is 70 cm and perpendicular height is 240 cm. (Use π = 22/7) [Level 2 (16/06/2022) Shift 2](a) 704(b) 7.04(c) 0.704(d) 70400Correct Answer: (b) 7.04Solution:33. The circumference of the base of a right circular cylinder is 176 cm and its height is 12 cm. Find the total surface area (in cm²) of the cylinder. (Use π = 22/7) [Level 2 (16/06/2022) Shift 3](a) 7640(b) 7064(c) 7460(d) 7040Correct Answer: (d) 7040Solution:34. The diagonal of a rectangular plot is 37 m and its area is 420 m². What is the cost of fencing the plot at ₹37.50 per metre? [Level 2 (16/06/2022) Shift 3](a) 3675(b) 3600(c) 3525(d) 3750Correct Answer: (c) 3525Solution:35. The length of a rectangular plot is twice its breadth and the length of its diagonal is 6√5 m. The perimeter of the plot is- [Level 3 (17/06/2022) Shift 1](a) 36 m(b) 54 m(c) 48 m(d) 28 mCorrect Answer: (a) 36 mSolution:36. A solid metallic cylindrical rod of radius 1.4 cm and length 24 cm is melted and recast as identical spherical balls of radius 2 mm. How many maximum such balls could be made? [Level 3 (17/06/2022) Shift 1 ](a) 4500(b) 4410(c) 4450(d) 4580Correct Answer: (b) 4410Solution:37. The total surface area of a solid right circular cylinder of height 9 cm is 704 cm². Its volume is 111 cm³. Find the value of r. (Use π = 22/7). [Level 3 (17/06/2022) Shift 2](a) 122(b) 126(c) 125(d) 121Correct Answer: (b) 126Solution:38. The length of each side of a regular hexagon is 2√3 cm. What is the area of the given hexagon? [Level 3 (17/06/2022) Shift 2](a) 18 cm²(b) 54 cm²(c) 18√3 cm²(d) 24 √3 cm²Correct Answer: (c) 18√3 cm²Solution:39. In ΔABC, DE ∥ BC, intersecting AB at D and AC at E. AD : BD = 2 : 3 and the area of trapezium BDEC is 63 cm². What is the area of ΔADE? [Level 3 (17/06/2022) Shift 2](a) 14 cm²(b) 12 cm²(c) 28 cm²(d) 42 cm²Correct Answer: (b) 12 cm²Solution:40. The cost of cultivating a square field at the rate of ₹320 per hectare is ₹2800. Find its area. (Use 1 hectare = 10000 m²) [Level 3 (17/06/2022) Shift 3](a) 60000 m²(b) 70000 m²(c) 80000 m²(d) 90000 m²Correct Answer: (d) 90000 m²Solution:Submit Quiz« Previous12345Next »