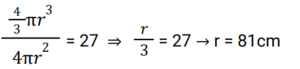
Mensuration (Railway Maths) (Part – X)Total Questions: 5031. The breadth of a rectangular field is 60% of its length. If the perimeter of the field is 800 m, what is the area of the field? [RRB JE 01/06/2019 (Evening)](a) 40000 m²(b) 37500 m²(c) 18750 m²(d) 48000 m²Correct Answer: (b) 37500 m²Solution:32. If each side of a cube becomes three times of itself, then its volume ______ of its original volume. [RRB JE 01/06/2019 (Evening) ](a) Becomes 9 times(b) Becomes 27 times(c) Becomes 3 times(d) Becomes 2 timesCorrect Answer: (b) Becomes 27 timesSolution:33. Height 'h' of a cylinder equals the circumference of its base. Then, the curved surface area in terms of 'h' is: [RRB JE 02/06/2019 (Morning) ](a) h³(b) 2h/3(c) 3h²(d) h²Correct Answer: (d) h²Solution:According to the question, Height (h) = 2πr = circumference of base curved surface area of a cylinder = 2 π𝑟ℎ = h × h = h²34. If the volume of a sphere is divided by its surface area, the result is 27 cm. Find the radius of the sphere. [RRB JE 02/06/2019 (Afternoon)](a) 243 cm(b) 81 cm(c) 27 cm(d) 9 cmCorrect Answer: (b) 81 cmSolution:35. The capacity of a cylindrical tank is 3080 m³. If the radius of its base is 7 m, find the depth of the tank. [RRB JE 02/06/2019 (Evening)](a) 25 m(b) 10 m(c) 15 m(d) 20 mCorrect Answer: (d) 20 mSolution:36. Find the number of carpets required to spread along the floor of a room of dimensions 40 m × 24 m, if each carpet measures 6 m × 4 m. [RRB JE 02/06/2019 (Evening)](a) 40(b) 15(c) 12(d) 18Correct Answer: (a) 40Solution:37. Mark the right statements. [RRB JE 02/06/2019 (Evening) ]1. The lateral surfaces of a pyramid are triangles with a common vertex. 2. A pyramid is a special case of a prism. 3. Volume of a pyramid = 1/3 × base area × vertical height 4. Volume of prism = 1/2 base area × height(a) Statements 1, 2 and 3 only(b) Statements 1 and 3 only(c) Statement 1 only(d) Statements 1, 3 and 4 onlyCorrect Answer: (b) Statements 1 and 3 onlySolution:38. A rectangular sheet has its length equal to twice the breadth. If V₁, V₂ are the volumes of the cylinders formed by folding the sheet along its length and along its breadth, then find the ratio V₁ to V₂. [RRB JE 27/06/2019 (Morning) ](a) 1 : 1(b) 1 : 3(c) 2 : 1(d) 2 : 3Correct Answer: (c) 2 : 1Solution:39. A solid cylinder has a total surface area of 462 cm². Its curved surface area is one-third of the total surface area. find its volume. [RRB JE 27/06/2019 (Evening) ](a) 964 cm³(b) 810 cm³(c) 539 cm³(d) 1024 cm³Correct Answer: (c) 539 cm³Solution:40. The curved surface area of a cone of radius 14 cm is 2200 cm². Find its height (in cm). [ALP Tier II 21/01/2019 (Afternoon)](a) 48(b) 50(c) 56(d) 49Correct Answer: (a) 48Solution:Submit Quiz« Previous12345Next »