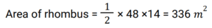
Mensuration (Railway Maths) (Part – XI)Total Questions: 3011. The whole area of the square shape of glass is 1156 cm². Which is placed above a table. The width between the table and the glass piece is 9 cm. Tell table length. (in cm) [RPF S.I. 10/01/2019 (Morning) ](a) 52(b) 51(c) 53(d) 50Correct Answer: (a) 52Solution:12. The volume of a right circular cone, whose radius of the base is same as one-third of its altitude, and the volume of a sphere are equal. The ratio of the radius of the cone to the radius of the sphere is: [RRB ALP 09/08/2018 (Morning) ](a) 1 : 1(b) ∛4 : ∛3(c) ∛3 : ∛2(d) ∛4 : 1Correct Answer: (b) ∛4 : ∛3Solution:13. The surface areas of three faces of a cuboid sharing a vertex are 20 m², 32 m² and 40 m². What is the volume of the cuboid? [RRB ALP 09/08/2018 (Afternoon)](a) 184 m³(b) 92 m³(c) √3024 m³(d) 160 m³Correct Answer: (d) 160 m³Solution:14. The two sides holding the right-angle in a right-angled triangle are 3 cm and 4 cm long. The area of its circumcircle will be: [RRB ALP 09/08/2018 (Afternoon)](a) 5π cm²(b) 6.75π cm²(c) 7π cm²(d) 6.25π cm²Correct Answer: (d) 6.25π cm²Solution:15. A lawn roller makes 20 revolutions in one hour. The radians it runs through in 25 minutes is: [RRB ALP 10/08/2018 (Morning)](a) 50π / 3(b) 150π / 7(c) 250π / 3(d) 50π / 7Correct Answer: (a) 50π / 3Solution:16. A shuttle cock used for playing badminton has the shape of a frustum of a cone mounted on a hemisphere. The external diameters of the frustum are 5 cm and 2 cm. The height of the entire shuttle cock is 7 cm. Find the external surface area. [RRB ALP 10/08/2018 (Morning)](a) 74.30 cm²(b) 74.26 cm²(c) 80 cm²(d) 73.38 cm²Correct Answer: (b) 74.26 cm²Solution:17. The area of a square is equal to its side, if the side is 1 unit. [RRB ALP 10/08/2018 (Afternoon)](a) Always(b) Never(c) Sometimes(d) OftenCorrect Answer: (a) AlwaysSolution:Area of square when side is 1 unit = 1² = 1 Clearly, we can see that the area of a square is always equal to its side when the side is 1 unit.18. The base of a triangle is half the base of a parallelogram having the same area as that of the triangle. The ratio of the corresponding heights of the triangle to the parallelogram will be: [RRB ALP 10/08/2018 (Afternoon)](a) 2 : 1(b) 1 : 4(c) 1 : 2(d) 4 : 1Correct Answer: (d) 4 : 1Solution:19. The area of the base of a cone is 64π cm² while its slant height is 17 cm. This cone is remolded to obtain a solid sphere. The radius of this sphere will be: [RRB ALP 14/08/2018 (Afternoon)](a) 6.5 cm(b) 2 ³√30 cm(c) 2 ³√40 cm(d) 8 ³√30 cmCorrect Answer: (b) 2 ³√30 cmSolution:20. The length of each side of a rhombus is 25 m and the length of one of its diagonals is 14 m. Find the area of the rhombus. [RRB ALP 14/08/2018 (Evening)](a) 336 m²(b) 350 m²(c) 175 m²(d) 168 m²Correct Answer: (a) 336 m²Solution:Submit Quiz« Previous123Next »