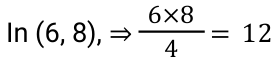
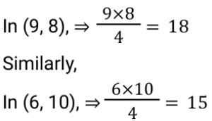
Missing Number – Railway Reasoning part – 1Total Questions: 5041. Find the missing number to complete the following sequence: [Level 2 (13/06/2022) Shift 1]11, 8, 5 , 2 = 3 19, 14, 9 , 4 = 5 27, 20, 13, 6 = ?(a) 11(b) 13(c) 9(d) 7Correct Answer: (d) 7Solution:Logic : - Difference between consecutive numbers in row = ? 11, 8, 5, 2 = 3 11 - 8 = 3, 5 - 2 = 3 19, 14, 9, 4 = 5 19 - 14 = 5, 9 - 4 = 5 Similarly, 27, 20, 13, 6 27 - 20 = 7, 13 - 6 = 742. Find the missing number to complete the following sequence: [Level 2 (13/06/2022) Shift 2]36, 58, 21 = 23 41, 39, 20 = 20 39, 52, 34 = ?(a) 17(b) 30(c) 25(d) 15Correct Answer: (c) 25Solution:36 + 58 + 21 = 115 ÷ 5 = 23 41 + 39 + 20 = 100 ÷ 5 = 20 Similarly, 39 + 52 + 34 = 125 ÷ 5 = 2543. Find the missing number to complete the following sequence: [Level 5 (15/06/2022) Shift 1]69, 87 = 39 93, 95 = 47 52, 64 = ?(a) 29(b) 37(c) 45(d) 53Correct Answer: (a) 29Solution:69, 87 = 39 ⇒ (69 + 87)/4 = 39 93, 95 = 47 ⇒ (93 + 95)/4 = 47 52, 64, = ? ⇒ (52 + 64)/4 = 2944. Find the missing number to complete the following sequence: [Level 2 (16/06/2022) Shift 2]6, 8 = 12 9, 8 = 18 6, 10 = ?(a) 18(b) 17(c) 16(d) 15Correct Answer: (d) 15Solution:45. Find the missing number to complete the following sequence: [RRB NTPC 28/12/2020 (Morning)](a) 69(b) 75(c) 76(d) 48Correct Answer: (b) 75Solution:Here the pattern is,For the first column ⇒ (28 + 8) = 36 = 6²For the second column ⇒ (63 + 18) = 81 = 9² Similarly, For the third column ⇒ (94 + x) = 13² = 169⇒ x = (169 - 94) = 75So, the missing number = 75.46. Find the missing number to complete the following sequence: [RRB NTPC 30/12/2020 (Morning)](a) 10(b) 16(c) 20(d) 18Correct Answer: (c) 20Solution:In the first column, the difference between the first and second number is equal to the difference between the third and fourth number = [(14 - 10) = (12 - 8) = 4]Similarly, for the second column= [(12 - 8) = (18 - 14) = 4]Similarly, for the third column= [(10 - 2) = (14 - 6) = 8]Similarly, for the fourth column= [(8 - 4) = (? - 16)] ⇒ ? = 2047. Find the missing number to complete the following sequence: [RRB NTPC 30/12/2020 (Evening)](a) 338(b) 296(c) 284(d) 352Correct Answer: (d) 352Solution:For the first row, 5³ + 4² = 125 + 16 = 141 for the second row, 6³ + 2² = 216 + 4 = 220 Similarly, for the third row, 7³ + 3² = 343 + 9 = 35248. Find the missing number to complete the following sequence: [RRB NTPC 30/12/2020 (Evening)](a) 24(b) 35(c) 49(d) 28Correct Answer: (b) 35Solution:From the above diagram,In the first column, (7 - 5) × 6 = 12In the second column , (8 - 2) × 5 = 30In the third column, (5 - 2) × 4 = 12So, in the fourth column, (8 - 3) × 7 = 3549. If 243 (222) 317, then 548 (?) 621 [RRB NTPC 05/01/2021 (Morning)](a) 211(b) 209(c) 210(d) 219Correct Answer: (d) 219Solution:Given, 243 (222) 317,i.e.{(317 - 243) × 3} = 74 × 3 = 222Then, 548 (?) 621 ⇒= {(621 — 548) × 3} = 73 × 3 = 219So, the pattern will be 548 (219) 621.50. Find the missing number to complete the following sequence: [RRB NTPC 05/01/2021 (Evening)](a) 50(b) 54(c) 42(d) 40Correct Answer: (c) 42Solution:30 - 12 + 2 = 2042 - 14 + 2 = 3056 - 16 + 2 = 42Submit Quiz« Previous12345