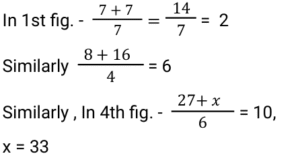
Missing Number – Railway Reasoning part – 5Total Questions: 521. Find the missing number to complete the following sequence: [RRB NTPC 08/04/2021 (Evening)](a) 8(b) 4(c) 6(d) 2Correct Answer: (c) 6Solution:2. Find the missing number to complete the following sequence: [RRB NTPC 08/04/2021 (Evening)](a) 15(b) 13(c) 9(d) 36Correct Answer: (b) 13Solution:Logic - (Multiplication of side of the both figure ) +1 Example -In 1st figure - (5 × 4 ) + 1 = 21In 2nd figure - (6 × 4 ) + 1 = 25In 4th figure - (4 × 3 ) + 1 = 133. Find the missing number to complete the following sequence: [RRB NTPC 08/04/2021 (Evening)](a) 5(b) 15(c) 22(d) 24Correct Answer: (a) 5Solution:Logic -1st figure - (4 × 6) + 2 = 24 + 2 = 262nd figure - (3 × 5) + 2 = 15 + 2 = 173rd figure - (3 × 1) + 2 = 3 + 2 = 54. Of the four given equations, the first three are solved on the basis of a certain system, where the function of → remains the same. Find the correct answer for the resolved fourth equation on the same basis [RRB NTPC 23/07/2021 (Morning)](a) 2(b) 10(c) 15(d) 8Correct Answer: (b) 10Solution:(9 × 6) ÷ 2 + 1 = 28(7 × 4) ÷ 2 + 1 = 15(3 × 8) ÷ 2 + 1 = 13(3 × 6) ÷ 2 + 1 = 105. Find the missing number to complete the following sequence: [RRB NTPC 23/07/2021 (Evening)](a) 10(b) 12(c) 6(d) 3Correct Answer: (d) 3Solution:Here, 8 + 6 + 7 + 3 = 8 × 38 + 9 + 7 + 8 = 16 × 2Therefore, 3 + 5 + 2 + 2 = 3 × 46. Find the missing number to complete the following sequence: [RRB NTPC 23/07/2021 (Evening)](a) N(b) W(c) X(d) PCorrect Answer: (a) NSolution:E + 2 = G, G + 3 = JJ + 4 = N, N + 5 = SS + 6 = Y, Y + 7 = FSo, F + 8 = N7. If 96 $ 24 @ 12 = 16, and 21 @ 57 $ 19 = 24, then 36 $ 6 @ 54 = ? [RRB NTPC 24/07/2021 (Morning)](a) 62(b) 64(c) 60(d) 66Correct Answer: (c) 60Solution:96 $ 24 @ 12 = 16 ----- (i)Putting the value of $ = ÷ and @ = +In equation (i)...... 96 ÷ 24 + 12 = 164 + 12 = 1616 = 16 (LHS = RHS )Similarly , 36 $ 6 @ 54 = 36 ÷ 6 + 54= 6 + 54 = 608. Find the missing number to complete the following sequence: [RRB NTPC 24/07/2021 (Evening)](a) 27(b) 25(c) 33(d) 9Correct Answer: (c) 33Solution:Logic : addition of bottom numbers and its divided by top number present in the triangle 9. Find the missing number to complete the following sequence: [RRB NTPC 26/07/2021 (Evening)](a) 817(b) 836(c) 731(d) 798Correct Answer: (d) 798Solution:Logic : (First no. × Second no.) - Second no37 × 13 − 13 = 46841 × 17 − 17 = 68043 × 19 − 19 = 79810. If @ + $ - # = 3 and # + @ - $ = 5, then the value of 2@ + $ - # = ? [RRB NTPC 31/07/2021 (Morning)](a) 6(b) 5(c) 7(d) 8Correct Answer: (c) 7Solution:Given , @ + $ - # = 3 ---- (i) + @ - $ = 5 ---- (ii) Adding equation (i) and equation (ii) , we get 2 @ = 8 → @ = 4 Putting the value of @ in equation (i)4 + $ - # = 3 → $ - # = -1 ---- (iii)Similarly , 2 @ + $ - # → 8 - 1 = 7Submit Quiz123456Next »