NDA/NA SOLVED PAPER 2015-I (MATHEMATICS)

Total Questions: 120

101. The mean of five numbers is 30. If one number is excluded, their mean becomes 28. The excluded number is

Correct Answer: (d) 38
Solution:Mean of 5 numbers = 30
∴ Total sum of 5 numbers = 30 × 5 = 150
After excluded one number
Mean of 4 numbers will be = 28
∴ Total sum of 4 numbers = 4×28=112
Thus, excluded number = (sum of 5 numbers - sum of 4 numbers)
= 150 - 112 = 38
∴ Option (d) is correct.

102. Solve the following equation

Correct Answer: (b) 2/3
Solution:

103. The 'less than' ogive curve and the 'more than' ogive curve intersect at

Correct Answer: (a) median
Solution:The 'less than' ogive curve and the 'more than' ogive curve intersect at median.
∴ Option (a) is correct.

104. In throwing of two dice, the number of exhaustive events that '5' will never appear on any one of the dice is

Correct Answer: (c) 25
Solution:

105. Two cards are drawn successively without replacement from a wellshuffled pack of 52 cards. The probability of drawing two aces is

Correct Answer: (b) 1/221
Solution:

106. What is the area of the region in the first quadrant enclosed by the x-axis, the line x = √3 and the circle?

Consider the line x = √3y and the circle x² + y² = 4.

Correct Answer: (a)
Solution:


The point of intersection of the line and the circle in the first quadrant is (√3, 1).

107. What is the area of the region in the first quadrant enclosed by the x-axis, the line x = √3y and the circle?

Consider the line x = √3y and the circle x² + y² = 4.

Correct Answer: (a) π/3
Solution:


The point of intersection of the line and the circle in the first quadrant is (√3, 1).

108. What is the area of the region cbounded by the above two curves and the lines x = 0 and x = π/4 ?

Consider the curves y = sin x and y = cos x.

Correct Answer: (a) √2 - 1
Solution:

109. What is the area of the region bounded by the above two curves and the lines x = π/4 and x = π/2 ?

Consider the curves y = sin x and y = cos x.

Correct Answer: (a) √2 - 1

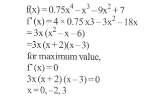
110. What is the maximum value of the function?

Consider the function f(x) = 0 . 75x⁴ - x³ - 9x² + 7

Correct Answer: (c) 7
Solution: