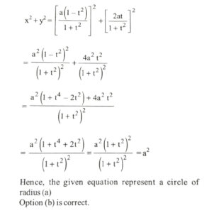
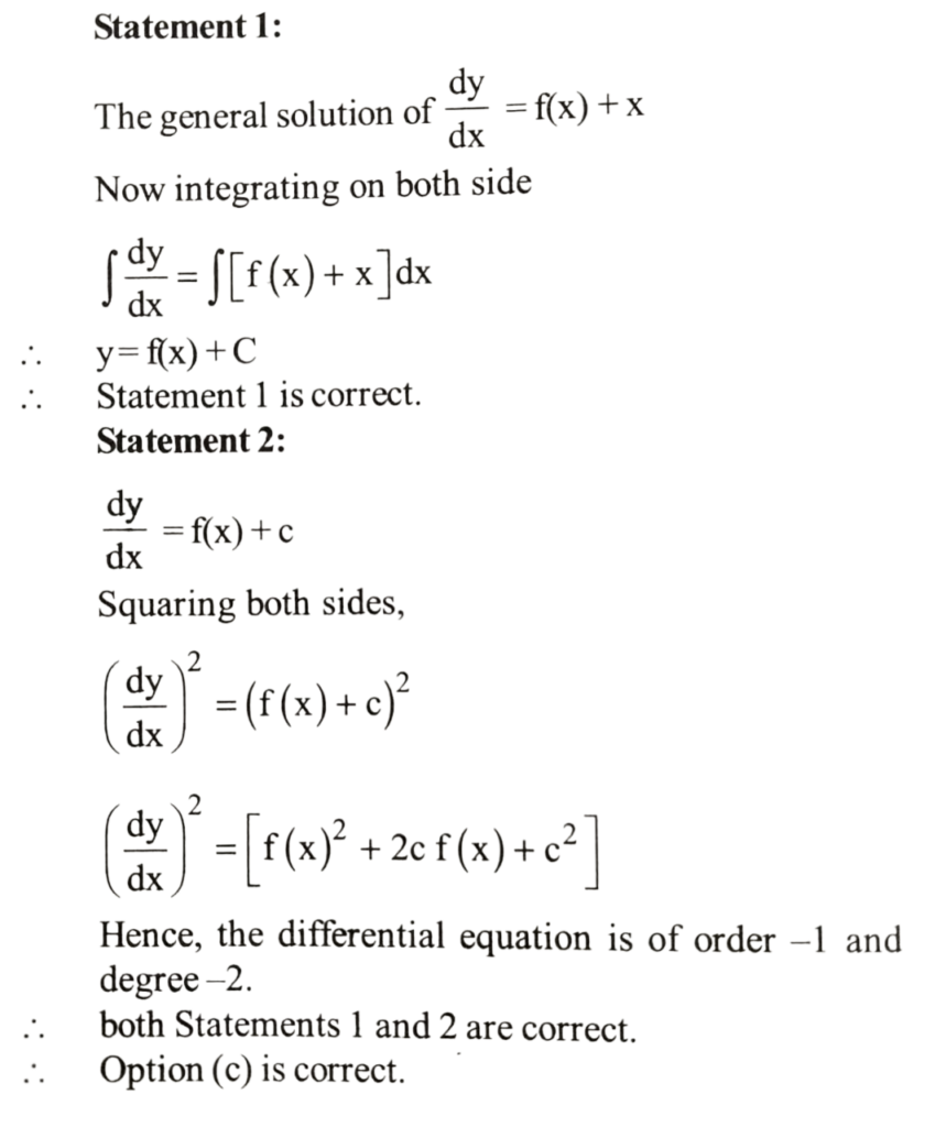
NDA/NA SOLVED PAPER 2015-I (MATHEMATICS)Total Questions: 120111. Consider the following statements:Consider the function f(x) = 0 . 75x⁴ - x³ - 9x² + 71. The function attains local minima at x = - 2 and x = 3 . 2. The function increases in the interval (-2, 0).Which of the above statements is/are correct?(a) 1 only(b) 2 only(c) Both 1 and 2(d) Neither 1 nor 2Correct Answer: (c) Both 1 and 2Solution:112. What does the equation represent?(a) It represents a circle of diameter a(b) It represents a circle of radius a(c) It represents a parabola(d) None of the aboveCorrect Answer: (b) It represents a circle of radius aSolution:113. What is dy/dx equal to?(a) y/x(b) - y/x(c) x/y(d) - x/yCorrect Answer: (d) - x/ySolution: 114. What is d²y/dx² equal to?(a) a²/y²(b) a²/x²(c) - a²/x²(d) - a²/y³Correct Answer: (d) - a²/y³Solution:115. Consider the following statements:1. The general solution of dy/dx = f(x) + x is of the form y = g(x) + c where c is an arbitrary constant. 2. The degree of (dy/dx)² = f(x) is 2.Which of the above statements is/are correct?(a) 1 only(b) 2 only(c) Both 1 and 2(d) Neither 1 nor 2Correct Answer: (c) Both 1 and 2Solution:116. Solve the following equation(a)(b)(c)(d)Correct Answer: (a)Solution: 117. What is I₁ equal to?(a) 0(b) 1/2(c) 1(d) 2Correct Answer: (a) 0Solution:118. What is I₂ + I₃ equal to?(a) 4(b) 2(c) 1(d) 0Correct Answer: (d) 0Solution: 119. What is Iₘ equal to?(a) 0(b) 1(c) m(d) 2mCorrect Answer: (a) 0Solution:120. Consider the following:1. Iₘ - Iₘ₋₁ is equal to 0. 2. I₂ₘ > IₘWhich of the above is/are correct?(a) 1 only(b) 2 only(c) Both 1 and 2(d) Neither 1 norCorrect Answer: (a) 1 onlySolution:Submit Quiz« Previous123456789101112