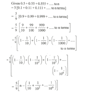
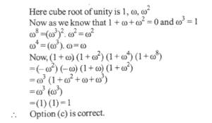
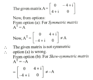
NDA/NA SOLVED PAPER 2015-I (MATHEMATICS)Total Questions: 12021. In a class of 60 students, 45 students like music, 50 students like dancing, 5 students like neither. Then the number of students in the class who like both music and dancing is(a) 35(b) 40(c) 50(d) 55Correct Answer: (b) 40Solution:22. If log₁₀ 2 log₁₀ (2ˣ - 1) and log₁₀ (2ˣ + 3) are three consecutive terms of an A.P, then the value of x is(a) 1(b) log₅ 2(c) log₂ 5(d) log₁₀ 5Correct Answer: (c) log₂ 5Solution: 23. Solve the following equation(a) symmetric(b) skew-symmetric(c) Hermitian(d) skew-HermitianCorrect Answer: (d) skew-HermitianSolution: 24. Let Z be the set of integers and aRb, where a, b ∈ Z if and only if (a - b) is divisible by 5.Consider the following statements: 1. The relation R partitions Z into five equivalent classes. 2. Any two equivalent classes are either equal or disjoint.Which of the above statements is/are correct?(a) 1 only(b) 2 only(c) Both 1 and 2(d) Neither 1 nor 2Correct Answer: (c) Both 1 and 225. Solve the following equation(a) 3π/4(b) π/4(c) 5π/6(d) - 3π/4Correct Answer: (d) - 3π/4Solution: 26. If m and n are the roots of the equation (x + p)(x + q) - k = 0, then the roots of the equation (x - m)(x - n) + k = 0 are(a) Pand q(b) 1/p and 1/q(c) -p and -9(d) p + q qandp p - qCorrect Answer: (c) -p and -9Solution:27. What is the sum of the series 0.5 + 0.55 + 0.555 +... to n terms?(a)(b)(c)(d)Correct Answer: (d)Solution: 28. If 1, ω , ω² are the cube roots of unity, then the value of (1 + omega) (1 + ω²) (1 + ω⁴) (1 + ω⁸) is(a) -1(b) 0(c) 1(d) 2Correct Answer: (c) 1Solution:29. Let A = {1, 2, 3, 4, 5, 6, 7, 8, 9, 10} Then the number of subsets of A containing exactly two elements is(a) 20(b) 40(c) 45(d) 90Correct Answer: (c) 45Solution:30. What is the square root of i, where i = √-1 ?(a) (1 + i)/2(b) (1 - i)/2(c) (1 + i)/√2(d) None of theseCorrect Answer: (c) (1 + i)/√2Solution: Submit Quiz« Previous123456789101112Next »