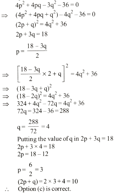
NDA/NA SOLVED PAPER 2015-I (MATHEMATICS)Total Questions: 12051. (x³ - 1) can be factorised as(a)(b)(c)(d)Correct Answer: (b)Solution:As we know that cube root of unity is 1, ω and ω² ∴ x³ - 1 = (x - 1) (x - ω) (x - ω²) ∴ Option (b) is correct.52. What is(a) 1(b) -1(c) i(d) -iCorrect Answer: (c) iSolution:53. Let(a)(b)(c)(d)Correct Answer: (a)Solution: 54. The value of(a) x + y(b) x - y(c) xy(d) 1 + x + yCorrect Answer: (c) xySolution:55. If A= {x : x is a multiple of 3} andB = {x : x is a multiple of 4} and C= {x : x is a multiple of 12}, then which one of the following is a null set?(a) (A / B) ∪ C(b) (A / B) / C(c) ( A ∩ B) ∩ C(d) ( A ∩ B) / CCorrect Answer: (d) ( A ∩ B) / CSolution:56. If (11101011)₂ is converted decimal system, then the resulting number is(a) 235(b) 175(c) 160(d) 126Correct Answer: (a) 235Solution:57. What is the real part of (sin x + i cos x)³ where i = √-1 ?(a) -cos 3x(b) - sin 3x(c) sin 3x(d) cos 3xCorrect Answer: (b) - sin 3xSolution:58. Solve the following equation(a) E(α β)(b) E(α - β)(c) E(α + β)(d) - E (α + β)Correct Answer: (c) E(α + β)Solution: 59. Let A = {x, y, z} and B = {p, q, r, s} . What is the number of distinct relations from B to A?(a) 4096(b) 4094(c) 128(d) 126Correct Answer: (a) 4096Solution:60. If 2p + 3q = 18 and 4p² + 4pq - 3q² - 36 = 0 then what is (2p + q) equal to?(a) 6(b) 7(c) 10(d) 20Correct Answer: (c) 10Solution:Submit Quiz« Previous123456789101112Next »