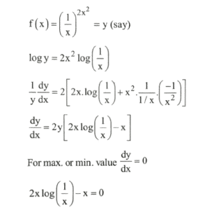
NDA/NA SOLVED PAPER 2015-II (MATHEMATICS)Total Questions: 12091. At what value of x does the function attain maximum value?(a) e(b) √e(c) 1/√e(d) 1/eCorrect Answer: (c) 1/√eSolution: 92. The maximum value of the function is(a)(b)(c)(d)Correct Answer: (c)Solution:93. The value of k isConsider f'(x) = x²/2 - kx + 1 such that f(0) = 0 and f(3) = 15(a) 5/3(b) 3/5(c) - 5/3(d) - 3/5Correct Answer: (c) - 5/3Solution:94. f''(- 2/3) is equal toConsider f'(x) = x²/2 - kx + 1 such that f(0) = 0 and f(3) = 15(a) -1(b) 1/3(c) 1/2(d) 1Correct Answer: (d) 1Solution:95. The function f(x) is an increasing function in the intervalConsider the function f(x) = - 2x³ - 9x² - 12x + 1(a) (-2, -1)(b) (- ∞, - 2)(c) (-1, 2)(d) (- 1, ∞)Correct Answer: (a) (-2, -1)Solution:96. The function f(x) is a decreasing function in the intervalConsider the function f(x) = - 2x³ - 9x² - 12x + 1(a) (-2,-1)(b) (- ∞, - 2) only(c) (- 1, ∞) only(d) (- ∞, - 2) ∪ (-1, ∞)Correct Answer: (d) (- ∞, - 2) ∪ (-1, ∞)Solution:97. Which one of the follwing is correct?(a) A = 2B(b) B = 2A(c) A = B(d) A = 3BCorrect Answer: (c) A = BSolution:98. What is the value of B?(a) π/4(b) π/2(c) 3π/4(d) πCorrect Answer: (b) π/2Solution: 99. The value of A is(a) 1(b) 0(c) -1(d) -2Correct Answer: (c) -1Solution: 100. The value of B is(a) 1(b) 0(c) -1(d) -2Correct Answer: (a) 1Solution:Put the value of A in eq. (2) we get : Rightarrow B = 1Submit Quiz« Previous123456789101112Next »