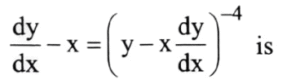
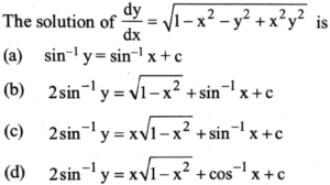
NDA/NA SOLVED PAPER 2015-II (MATHEMATICS)Total Questions: 120101. The degree of the differential equation(a) 2(b) 3(c) 4(d) 5Correct Answer: (d) 5Solution:102. Solve the following equation(a)(b)(c)(d)Correct Answer: (c)Solution:103. The differential equation of the family of circles passing through the origin and having centres on the x-axis is(a)(b)(c)(d)Correct Answer: (b)Solution:104. The order and degree of the differential equation of parabolas having vertex at the origin and focus at (a, 0) where a > 0, are respectively(a) 1, 1(b) 2, 1(c) 1, 2(d) 2, 2Correct Answer: (a) 1, 1Solution: 105. f(xy) = f(x) + f(y) is true for all(a) Polynomial functions f(b) Trigonometric functions f(c) Exponential functions f(d) Logarithmic functions fCorrect Answer: (d) Logarithmic functions fSolution:Let f(x) = logx ∴ f(y) = log y & f(xy) = log (xy) = log x + log y ⇒ f(xy) = f(x) + f(y)106. Three digits are chosen at random from 1, 2, 3, 4, 5, 6, 7, 8 and 9 without repeating any digit. What is the probability that the product is odd?.(a) 2/3(b) 7/48(c) 5/42(d) 5/108Correct Answer: (c) 5/42Solution:Total no. of 3-digit numbers = 9 ×8×7 = 504 For product to be odd, we have to choose only from odd numbers. ∴ Total no. of 3-digit no. whose product are odd = 5 × 4 × 3 = 60 ∴ Required probability = 60/504 = 5/42107. Two events A and B are such that P(notB) = 0.8 P( A ∪ B)= 0.5 and P( A|B)=0.4 Then P(A) is equal to(a) 0.28(b) 0.32(c) 0.38(d) None of the aboveCorrect Answer: (c) 0.38Solution:108. If mean and variance of a Binomial variate X are 2 and 1 respectively, then the probability that X takes a value greater than 1 is(a) 2/3(b) 4/5(c) 7/8(d) 11/16Correct Answer: (d) 11/16Solution:109. Seven unbiased coins are tossed 128 times. In how many throws would you find at least three heads ?(a) 99(b) 102(c) 103(d) 104Correct Answer: (a) 99Solution:110. A coin is tossed five times. What is the probability that heads are observed more than three times ?(a) 3/16(b) 5/16(c) 1/2(d) 3/32Correct Answer: (a) 3/16Solution: Submit Quiz« Previous123456789101112Next »