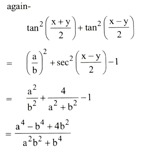
NDA/NA SOLVED PAPER 2015-II (MATHEMATICS)Total Questions: 12021. Solve the following equation(a) - 7/17(b) 5/16(c) 5/4(d) 7/17Correct Answer: (a) - 7/17Solution:22. Two poles are 10 m and 20 m high. The line joining their tops makes an angle of 15° with the horizontal. The distance between the poles is approximately equal to(a) 36.3 m(b) 37.3 in(c) 38.3m(d) 39.3 inCorrect Answer: (b) 37.3 inSolution:23. If g(x) = 1/f(x) and f(x) = x, x ≠ 0 then which one of the following is correct(a)(b)(c)(d)Correct Answer: (b)Solution:f(x) = x, g(x) = 1 / x, Putting these values in the options, only (b) is correct.24. Consider the following:(a) 1 only(b) 2 only(c) Both 1 and 2(d) Neither 1 nor 2Correct Answer: (a) 1 onlySolution: 25. Solve the following equation: 1. |AB| = ± 47 2. AB = BASelect the correct answer using the code given below(a) 1 only(b) 2 only(c) Both 1 and 2(d) Neither 1 nor 2Correct Answer: (a) 1 onlySolution:26. Solve the following equation(a) always negative(b) always positive(c) always zero(d) positive if 1 < p 2Correct Answer: (b) always positiveSolution:27. Ifa, b, c are real numbers, then the value of the determinant(a) 0(b) (a - b) (b - c) (c - a)(c) (a + b + c)²(d) (a + b + c)³Correct Answer: (a) 0Solution:28. If the point z 1 =1 + i where i = √-1 is the reflection of a point z₂ = x + iy in the line i¯z - iz = 5, then the point z₂ is(a) 1 + 4i(b) 4 + i(c) 1 - i(d) - 1 - iCorrect Answer: (a) 1 + 4iSolution:29. If sin x + sin y = a and cos x + cos y = b then (a)(b)(c)(d)Correct Answer: (b)Solution:30. A vertical tower standing on a levelled field is mounted with a vertical flag staff of length 3 m. From a point on the field, the angles of elevation of the bottom and tip of the flag staff are 30° and 45° respectively. Which one of the following gives the best approximation to the height of the tower?(a) 3.90m(b) 4.00m(c) 4.10m(d) 4.25mCorrect Answer: (c) 4.10mSolution:as ∠CPA = 45º Submit Quiz« Previous123456789101112Next »