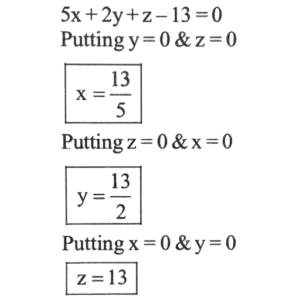
NDA/NA SOLVED PAPER 2015-II (MATHEMATICS)Total Questions: 12051. The line 3x + 4y - 24 = 0 intersects the x-axis at A and y-axis at B. Then the circumcentre of the triangle OAB where O is the origin is(a) (2, 3)(b) (3, 3)(c) (4, 3)(d) None of the aboveCorrect Answer: (c) (4, 3)Solution:52. The eccentricity of the hyperbola 16x² - 9y² = 1 is(a) 3/5(b) 5/3(c) 4/5(d) 5/4Correct Answer: (b) 5/3Solution:53. The product of y the perpendiculars from the two points (± 4, 0) to the line 3x cos φ + 5y sin φ = 15 is(a) 25(b) 16(c) 9(d) 8Correct Answer: (c) 9Solution: 54. If the centre of the circle passing through the origin is (3, 4), then the intercepts cut off by the circle on x-axis and y-axis respectively are(a) 3 unit and 4 unit(b) 6 unit and 4 unit(c) 3 unit and 8 unitIf the centre of the circle passing through the origin is (3, 4), then the intercepts cut off by the circle on x-axis and y-axis respectively areCorrect Answer: If the centre of the circle passing through the origin is (3, 4), then the intercepts cut off by the circle on x-axis and y-axis respectively areSolution:55. The lines 2x = 3y = - z and 6x = - y = - 4z(a) are perpendicular(b) are parallel(c) intersect at an angle 45°(d) intersect at an angle 60°Correct Answer: (a) are perpendicularSolution:56. Two straight lines passing through the point A(3, 2) cut the line 2y = x + 3 and x-axis perpendicularly at P and Q respectively. The equation of the line PQ is(a) 7x + y - 21 = 0(b) x + 7y + 21 = 0(c) 2x + y - 8 = 0(d) x + 2y + 8 = 0Correct Answer: (a) 7x + y - 21 = 0Solution:57. The radius of the sphere 3x² + 3y² + 3z² - 8x + 4y + 8z - 15 = 0 is(a) 2(b) 3(c) 4(d) 5Correct Answer: (b) 3Solution:58. The direction ratios of the line perpendicular to the lines with direction ratios and are(a)(b)(c)(d)Correct Answer: (a)Solution:59. What are the co-ordinates of the foot of the perpendicular drawn from the point (3, 5, 4) on the plane z = 0 ?(a) (0, 5, 4)(b) (3, 5, 0)(c) (3, 0, 4)(d) (0, 0, 4)Correct Answer: (b) (3, 5, 0)Solution:60. The lengths of the intercepts on the co-ordinate axes made by the plane 5x + 2y + z - 13 = 0 are(a) 5, 2, 1 unit(b) 13/5, 13/2, 13 unit(c) 5/13, 2/13, 1/13 unit(d) 1, 2, 5 unitCorrect Answer: (b) 13/5, 13/2, 13 unitSolution:Submit Quiz« Previous123456789101112Next »