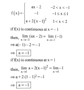
NDA/NA SOLVED PAPER 2015-II (MATHEMATICS)Total Questions: 12071. Solve the following equation(a)(b)(c)(d)Correct Answer: (d)Solution: 72. Consider the function(a) -1(b) 1(c) 0(d) 2Correct Answer: (a) -1Solution:73. Solve the following equation(a) - 1/2(b) 1/2(c) -1(d) 1Correct Answer: (c) -1Solution:74. Consider the following functions:(a) 1 only(b) 2 only(c) Both 1 and 2(d) Neither 1 nor 2Correct Answer: (b) 2 onlySolution:75. Solve the following equation(a) [0, ∞)(b) (- ∞, 0)(c) [1, ∞)(d) (- ∞, 0]Correct Answer: (b) (- ∞, 0)Solution:76. Consider the following statements :(a) 1 only(b) 2 only(c) Both 1 and 2(d) Neither 1 nor 2Correct Answer: (c) Both 1 and 2Solution: 77. Solve the following equation(a)(b)(c)(d)Correct Answer: (a)Solution:78. Solve the following equation(a) 1/2(b) 2(c) sin x + cos x(d) sin x - cos xCorrect Answer: (a) 1/2Solution: 79. The function f(x) = x²/eˣ monotonically increasing if(a) x < 0 only(b) x > 2 only(c) 0 < x < 2(d) x ∈ (- ∞, 0) ∪ (2, ∞)Correct Answer: (c) 0 < x < 2Solution:80. Solve the following equation(a) a/b(b) b/a(c) 1(d) 0Correct Answer: (d) 0Solution: Submit Quiz« Previous123456789101112Next »