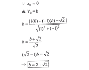
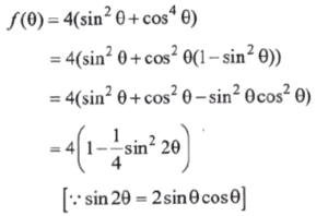
NDA/NA SOLVED PAPER 2016-I (MATHEMATICS)Total Questions: 1201. Suppose w is a cube root of unity with ω ≠ 1. Suppose P and Q are the points on the complex plane defined by w and ω² . If O is the origin, then what is the angle between OP and OQ?(a) 60°(b) 90°(c) 120°(d) 150°Correct Answer: (a) 60°Solution: 2. Suppose there is a relation * between the positive numbers x and y given by xy if and only if x ≤ y². Then which one of the following is correct?(a) * is reflexive but not transitive and symmetric(b) * is transitive but not reflexive and symmetric(c) * is symmetric and reflexive but not transitive(d) * is symmetric and but not reflexive and transitiveCorrect Answer: (a) * is reflexive but not transitive and symmetricSolution:3. x² + px + 4 > 0 for all real values ofx, then which one of the following is correct?(a) |p| < 4(b) |p| ≤ 4(c) |p| > 4(d) |p| ≥ 4Correct Answer: (b) |p| ≤ 4Solution:4. Solve the following equation(a) π(b) π/2(c) π/3(d) π/4Correct Answer: (a) πSolution: 5. Solve the following equation(a) In (1 - x)/(1 + x)(b) ln (2 + x)/(1 - x)(c) tan⁻¹ (1 - x)/(1 + x)(d) tan⁻¹ (1 + x)/(1 - x)Correct Answer: (a) In (1 - x)/(1 + x)Solution: 6. What is the range of the function y = (x²)/(1 + x²), where x in R ?(a) [0, 1)(b) [0, 1](c) (0, 1)(d) (0, 1]Correct Answer: (a) [0, 1)Solution:7. A straight line intersects x and y axes at P and Q respectively. If (3, 5) is the middle point of PQ, then what is the area of the triangle OPQ?(a) 12 square units(b) 15 square units(c) 20 square units(d) 30 square unitsCorrect Answer: (d) 30 square unitsSolution:8. If a circle of radius b units with centre at (0, b) touches the line y = x - √2 then what is the value of b?(a) 2 + √2(b) 2 - √2(c) 2√2(d) √2Correct Answer: (a) 2 + √2Solution:9. What is the maximum value of the function f(θ)?Consider the function f(θ) = 4(sin²θ + cos⁴θ)(a) 1(b) 2(c) 2(d) 4Correct Answer: (d) 4Solution: 10. What is the minimum value of the function f(θ)?Consider the function f(θ) = 4(sin²θ + cos⁴θ)(a) 0(b) 1(c) 2(d) 3Correct Answer: (d) 3Solution: Submit Quiz123456789101112Next »