NDA/NA SOLVED PAPER 2016-I (MATHEMATICS)

Total Questions: 120

101. If m is the geometric mean of then


what is the value of m?

Correct Answer: (a) 1
Solution:


102. A point is chosen at random inside a rectangle measuring 6 inches by 5 inches. What is the probability that the randomly selected point is at least one inch from the edge of the rectangle?

Correct Answer: (d) 2/5
Solution:

103. Solve the following equation

Correct Answer: (a)
Solution:


104. For the data 3, 5, 1, 6, 5, 9, 5, 2, 8, 6 the mean, median and mode are x, y and z respectively. Which one of the following is correct?

Correct Answer: (d) x = y = z
Solution:

105. Consider the following statements in respect of a histogram:

1. The total area of the rectangles in a histogram is equal to the total area bounded by the corresponding frequnecy polygon and the x-axis.
2. When class intervals are unequal in a frequency distribution, the area of the rectangle is proportional to the frequency.imateb

Which of the above statements is/are correct?

Correct Answer: (c) Both 1 and 2
Solution:Statement (1) is correct because total area of the rectangles in a histogram is equal to the total area bounded by the corresponding frequency polygon and x-axis. Statement (2) is also correct.

106. A fair coin is tossed 100 times. What is the probability of getting tails an odd number of times?

Correct Answer: (a) 1/2
Solution:

107. What is the number of ways in which 3 holiday travel tickets are to be given to 10 employees of an organization, if each employee is eligible for any one or more of the tickets?

Correct Answer: (d) 1000
Solution:No. of ways in which 3 holiday travel tickets are to be given to 10 employees = 10³ = 1000

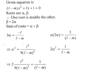
108. If one root of the equation (1 - m) x² + 1x + 1 = 0 is double the other and 1 is real, then what is the greatest value of m?

Correct Answer: (b) 9/8
Solution:


109. What is the number of four-digit decimal numbers (<1) in which no digit is repeated?

Correct Answer: (b) 4536
Solution:

110. Solve the following equation

Correct Answer: (b)
Solution: