NDA/NA SOLVED PAPER 2016-I (MATHEMATICS)

Total Questions: 120

11. Consider the following statements:

Consider the function f(θ) = 4(sin²θ + cos⁴θ)
1. f(θ) = 2 has no solution.
2. has a solution. f(θ) = 7/2

Which of the above statements is/are correct?

Correct Answer: (c) Both 1 and 2
Solution:




12. Where do the curves intersect?

Correct Answer: (c) At (2, 3) and (-1,-2)
Solution:

13. What is the area bounded by the curves?

Correct Answer: (b) 8/3 square units
Solution:

14. How many solutions does the function f(x) = 1 have?

Correct Answer: (b) Two
Solution:



15. How many solutions does the function f(x) = -1 have?

Correct Answer: (a) One
Solution:


16. Consider the functions

Consider the functions f(x) = xg(x) and g(x) = [1/x]
Where [⋅] is the greatest integer function.

Correct Answer: (b)
Solution:

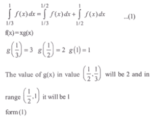
17. Solve the following equation

Consider the functions f(x) = xg(x) and g(x) = [1/x]
Where [⋅] is the greatest integer function.

Correct Answer: (a)
Solution:


18. Which one of the following statements is correct?

Consider the function f(x) = |x - 1| + x², where x ∈ R.

Correct Answer: (b) f(x) is continuous but not differentiable at x = 1
Solution:f(x)= |x - 1| + x² ∀ x ∈ R
f₁(x)= |x - 1|, f₂(x) = x²
f₁(x) and f(x) both are continuous. Hence f(x) is continuous.
f(x) in differentiable at x = 0
f₁(x) is not differentiable at x = 1.
Hence f(x) is continuous but not differentiable at x = 1.

19. Which one of the following statements is correct?

Consider the function f(x) = |x - 1| + x², where x ∈ R.

Correct Answer: (b) f(x) is decreasing in (- ∞, 1/2) and increasing in (1/2, ∞)
Solution:

20. Which one of the following statements is correct?

Consider the function f(x) = |x - 1| + x², where x ∈ R.

Correct Answer: (c) f(x) has local minimum at one point only in (- ∞, ∞)
Solution: