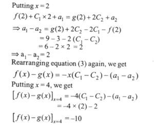
NDA/NA SOLVED PAPER 2016-I (MATHEMATICS)Total Questions: 12031. Let f(x) and g(x) be twice differentiable functions on [0, 2] satisfying f(x) =g(x), f'(1) = 4, g'(1) = 6 , f(2) = 3 and g(2) = 9. Then what is f(x) - g(x) at x = 4 equal to ?(a) -10(b) -6(c) 4(d) 2Correct Answer: (a) -10Solution: 32. What is/are the point(s) of intersection of the curves ?Consider the curves y = |x - 1| and |x| = 2(a) (2, 3) only(b) (2, 1) only(c) (-2, 3) and (2, 1)(d) Neither (-2, 3) nor (2, 1)Correct Answer: (c) (-2, 3) and (2, 1)Solution:33. What is the area of the region bounded by the curves and x-axis ?Consider the curves y = |x - 1| and |x| = 2(a) 3 square units(b) 4 square units(c) 5 square units(d) 6 square unitsCorrect Answer: (c) 5 square unitsSolution:34. What is the value of f'(0) ?(a) p³(b) 3p³(c) 6p³(d) - 6p³Correct Answer: (d) - 6p³Solution: 35. What is the value of p for which f''(0) = 0 ?(a) - 1/6 or 0(b) -1 or 0(c) - 1/6 or 1(d) -1 or 1Correct Answer: (a) - 1/6 or 0Solution:36. What is the value of sin(A/2) sin(B/2) sin(C/2) ?(a) 1/2(b) 1/4(c) 1/8(d) 1/16Correct Answer: (c) 1/8Solution: 37. What is the value of(a) 1/4(b) 1/2(c) 1/16(d) None of the aboveCorrect Answer: (d) None of the aboveSolution:38. What is tan(α + β) equal to?Given that tan α and tan β are the roots of the equation x² + bx + c = 0 with b ≠ 0 .(a) b(c - 1)(b) c(b - 1)(c) c(b - 1)⁻¹(d) b(c - 1)⁻¹Correct Answer: (d) b(c - 1)⁻¹Solution:39. What is sin(α + β) sec(α) sec(β) equal to?Given that tan α and tan β are the roots of the equation x² + bx + c = 0 with b ≠ 0 .(a) b(b) -b(c) c(d) -cCorrect Answer: (b) -bSolution:40. What is the distance between the centres of the two circles?Consider the two circles (x - 1)² + (y - 3)² = r² and x²+ y² - 8x + 2y + 8 = 0(a) 5 units(b) 6 units(c) 8 units(d) 10 unitsCorrect Answer: (a) 5 unitsSolution: Submit Quiz« Previous123456789101112Next »