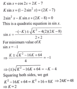
NDA/NA SOLVED PAPER 2016-I (MATHEMATICS)Total Questions: 12041. If the circles intersect at two distinct points, then which one of the following is correct?Consider the two circles (x - 1)² + (y - 3)² = r² and x²+ y² - 8x + 2y + 8 = 0(a) r = 1(b) 1 < r < 2(c) r = 2(d) 2 < r < 8Correct Answer: (d) 2 < r < 8Solution:42. What is the equation of the line passing through the point of intersection of the given lines and parallel to x-axis?Consider the two lines x + y + 1 = 0 and 3x + 2y + 1 = 0(a) y + 1 = 0(b) y - 1 = 0(c) y - 2 = 0(d) y + 2 = 0Correct Answer: (d) y + 2 = 0Solution: 43. What is the equation of the line passing through the point of intersection of the given lines and parallel to y-axis ?Consider the two lines x + y + 1 = 0 and 3x + 2y + 1 = 0(a) x + 1 = 0(b) x - 1 = 0(c) x - 2 = 0(d) x + 2 = 0Correct Answer: (b) x - 1 = 0Solution: 44. If the equation possesses solution, then what is the minimum value of k?Consider the equation k sin x + cos 2x = 2k - 7(a) 1(b) 2(c) 4(d) 6Correct Answer: (b) 2Solution:45. If the equation possesses solution, then what is the maximum value of k ?Consider the equation k sin x + cos 2x = 2k - 7(a) 1(b) 2(c) 4(d) 6Correct Answer: (d) 6Solution: 46. Solve the following equation(a) 1(b) In a(c) 1 - a⁻¹(d) Limit does not existCorrect Answer: (b) In aSolution:47. Solve the following equation(a) 0(b) In a(c) 1 - a⁻¹(d) Limit does not existCorrect Answer: (c) 1 - a⁻¹Solution:48. What is z₁ + z₂ + z₃ equal to?(a) i(b) -i(c) 0(d) 1Correct Answer: (c) 0Solution: 49. Consider the following statements:1. z₁ z₂ z₃ is purely imaginary. 2. z₁ z₂ + z₂ z₃ + z₃ z₁ is purely real.Which of the above statements is/are correct?(a) 1 only(b) 2 only(c) Both 1 and 2(d) Neither 1 nor 2Correct Answer: (c) Both 1 and 2Solution: 50. Which one of the following is correct?(a) in AP only(b) in GP only(c) in both AP and GP(d) neither in AP nor in GPCorrect Answer: (c) in both AP and GPSolution: Submit Quiz« Previous123456789101112Next »