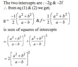
NDA/NA SOLVED PAPER 2016-I (MATHEMATICS)Total Questions: 12071. Solve the following equationLet f(x) be the greatest integer function and g(x) be the modulus function. (a) - 1(b) 0(c) 1(d) 2Correct Answer: (b) 0Solution:f(x) → greatest integer function, f(x) = [x], g(x) → modulus function, g(x) = |x|72. On which line does the centre of the circle lie?Consider a circle passing through the origin and the points (a, b) and (- b, - a)(a) x + y = 0(b) x - y = 0(c) x + y = a + b(d) x - y = a² - b²Correct Answer: (a) x + y = 0Solution:73. What is the sum of the squares of the intercepts cut off by the circle on the axes?Consider a circle passing through the origin and the points (a, b) and (-b, -a) (a)(b)(c)(d)Correct Answer: (b)Solution:74. What is cos(θ/2) equal to? (a)(b)(c)(d)Correct Answer: (b)Solution: 75. What is sin(θ/2) equal to? (a)(b)(c)(d)Correct Answer: (a)Solution:76. Consider the following statements: Which of the above statements is/are correct ?(a) 1 only(b) 2 only(c) Both 1 and 2(d) Neither 1 nor 2Correct Answer: (b) 2 onlySolution:77. Consider the following statements:(a) 1 only(b) 2 only(c) Both 1 and 2(d) Neither 1 nor 2Correct Answer: (d) Neither 1 nor 2Solution: 78. Solve the following equation(a) 1, 2(b) 2, 2(c) 1, 3(d) 1, 4Correct Answer: (d) 1, 4Solution:79. Solve the following equation(a) 0(b) 1(c) 2(d) 4Correct Answer: (c) 2Solution:80. Solve the following equation(a) -3(b) 2(c) 3(d) 5Correct Answer: (b) 2Solution: Submit Quiz« Previous123456789101112Next »