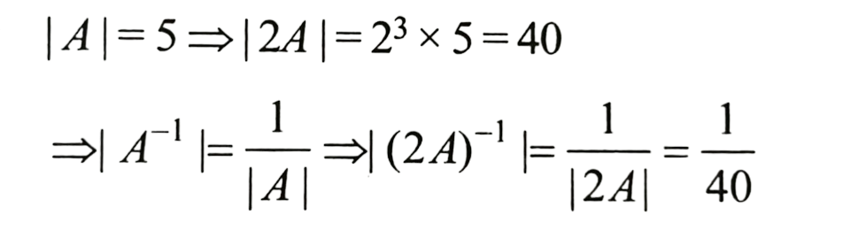
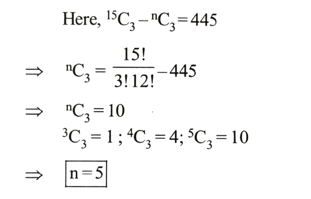
NDA/NA SOLVED PAPER 2016-II (MATHEMATICS)Total Questions: 1201. Let S be a set of all distinct numbers of the form P/Q, where p, q ∈ {1, 2, 3, 4, 5, 6} . What is the cardinality of the set S?(a) 21(b) 23(c) 32(d) 36Correct Answer: (b) 23Solution: 2. If c > 0 and 4a + c < 2b then ax² - bx + c = 0 has a root in which one of the following intervals?(a) (0, 2)(b) (2, 3)(c) (3, 4)(d) (-2, 0)Correct Answer: (a) (0, 2)Solution:Let f(x) = ax² - bx + c f(2) = 4a - 2b + c < 0 (given) f(0) = c > 0 (given) So, we can see that sign of f(x) changes, when x changes from 0 to 2, so it has a root in the interval (0, 2).3. If A = {x ∈ R : x² + 6x - 7 0} , then which of the following is/are correct?1. A cap B = {X ∈ R : - 2 < x < 1} 2. A backslash B = {x ∈ R : - 7 < x < - 2}Select the correct answer using the code given below:(a) 1 only(b) 2 only(c) Both 1 and 2(d) Neither 1 nor 2Correct Answer: (c) Both 1 and 2Solution:4. IfA is semy square matrix of order 3 and det A = 5 then what is det[(2A)⁻¹] equal to?(a) 1/10(b) 2/5(c) 8/5(d) 1/40Correct Answer: (d) 1/40Solution:5. What is ω¹⁰⁰ + ω²⁰⁰ + ω³⁰⁰ equal to, where is the cube root of unity?(a) 1(b) 3ω(c) 3ω²(d) 0Correct Answer: (d) 0Solution:6. If Re (z - 1)/(z + 1) = 0 where z = x + iy is a complex number, then which one of the following is correct?(a) z = 1 + i(b) |z| = 2(c) z = 1 - i(d) |z| = 1Correct Answer: (d) |z| = 1Solution:7. Solve the following equation(a)(b)(c)(d)Correct Answer: (d)Solution:8. Out of 15 points in a plane, n points are in the same straight line. 445 triangles can be formed by joining these points. What is the value of n?(a) 3(b) 4(c) 5(d) 6Correct Answer: (c) 5Solution:9. Solve the following equation(a) 0(b) 1/2(c) √3/2(d) 1Correct Answer: (a) 0Solution:10. If both the roots of the equation x² - 2kx + k² - 4 = 0 lie between -3 and 5, then which one of the following is correct?(a) - 2 < k < 2(b) - 5 < k < 3(c) - 3 < k < 5(d) - 1 < k < 3Correct Answer: (d) - 1 < k < 3Solution:Submit Quiz123456789101112Next »