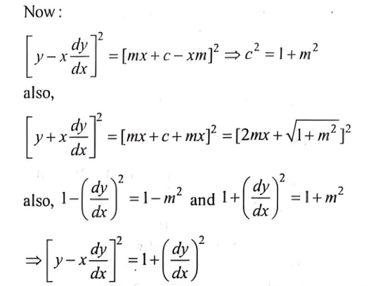
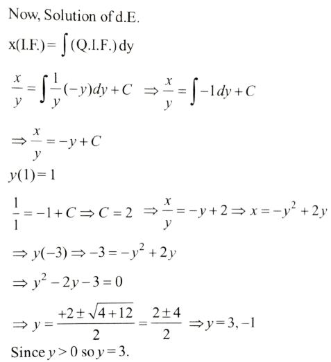
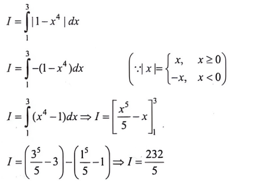
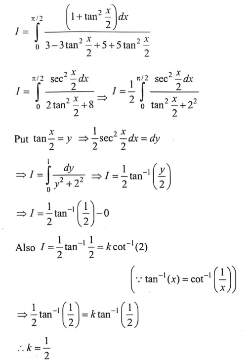
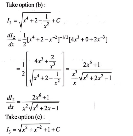
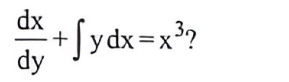
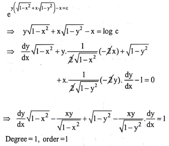
NDA/NA SOLVED PAPER 2016-II (MATHEMATICS)Total Questions: 12091. Solve the following equation(a) 2 f(1)(b) 0(c) 2f(- 1)(d) 4f(1)Correct Answer: (c) 2f(- 1)92. Solve the following equation(a)(b)(c)(d)Correct Answer: (c)Solution: 93. What are the degree and order respectively of the differential(a) 1, 1(b) 1, 2(c) 2, 1(d) 2, 2Correct Answer: (a) 1, 1Solution:94. What is the curve which passes through the point (1,1) and whose slope is 2y/x ?(a) Circle(b) Parabola(c) Ellipse(d) HyperbolaCorrect Answer: (b) ParabolaSolution:95. If x dy = y dx + y² dy, y > 0 andy y(1) = 1, then what is y (-3) equal to?(a) 3 only(b) -1 only(c) Both -1 and 3(d) Neither -1 nor 3Correct Answer: (a) 3 onlySolution:96. What is the order of the differential equation(a) 1(b) 2(c) 3(d) Cannot be determinedCorrect Answer: (b) 2Solution:97. Which one of the following differential equations represents the family of straight lines which are at unit distance from the origin?(a)(b)(c)(d)Correct Answer: (c)Solution: 98. Solve the following equation(a)(b)(c)(d)Correct Answer: (b)Solution: 99. Solve the following equation(a) 1/4(b) 1/2(c) 1(d) 2Correct Answer: (b) 1/2Solution: 100. Solve the following equation(a) - 232/5(b) - 116/5(c) 116/5(d) 232/5Correct Answer: (d) 232/5Solution:Submit Quiz« Previous123456789101112Next »