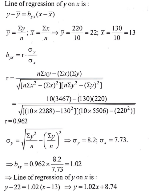
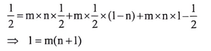
NDA/NA SOLVED PAPER 2016-II (MATHEMATICS)Total Questions: 120101. A special dice with numbers 1, -1, -2, -2, 0 and 3 is thrown thrice. What is the probability that the sum of the numbers occurring on the upper face is zero?(a) 1/72(b) 1/8(c) 7/72(d) 25/216Correct Answer: (d) 25/216Solution: 102. There is 25% chance that it rains on any particular day. What is the probability that there is at least one rainy day within a period of 7 days?(a)(b)(c)(d)Correct Answer: (d)Solution:103. A salesman has a 70% chance to sell a product to any customer. The behaviour of successive customers is independent. If two customers A and B enter, what is the probability that the salesman will sell the product to customer A or B?(a) 0.98(b) 0.91(c) 0.70(d) 0.49Correct Answer: (b) 0.91Solution:104. A student appears for tests I, II and III. The student is considered successful if he passes in tests I, II or III or all the three. The probabilities of the student passing in tests I, II and III are m, n and 1/2 respectively. If the probability of the student to be successful is 1/2, then which one of the following is correct?(a) m(1 + n) = 1(b) n(1 + m) = 1(c) m = 1(d) mn = 1Correct Answer: (a) m(1 + n) = 1Solution:105. Three candidates solve a question. Odds in favour of the correct answer are 5:2, 4:3 and 3:4 respectively for the three candidates. What is the probability that at least two of them solve the question correctly?(a) 209/343(b) 134/343(c) 149/343(d) 60/343Correct Answer: (a) 209/343Solution: 106. Consider the following statements:1. The mean and median are equal in symmetric distribution. 2. The range is the difference between the maximum value and the minimum value in the data. 3. The sum of the areas of the rectangles in the histogra is equal to the total area bounded by the frequency polygon and the horizontal axis.Which of the above statements are correct?(a) 1 and 2 only(b) 2 and 3 only(c) 1 and 3 only(d) 1, 2 and 3Correct Answer: (d) 1, 2 and 3Solution:Mean = Median (in symmetric distribution) Range= (Max. value -Min. value) And sum of areas of rectangles in the histogram is always equal to the total area bounded by frequency polygon and the horizontal axis.107. The scores of 15 students in an examination were recorded as 10, 5, 8, 16, 18, 20, 8, 10, 16, 20, 18, 11, 16, 14 and 12. After calculating the mean, median and mode, an error is found. One of the values is wrongly written as 16 instead of 18. Which of the following measures of central tendency will change?(a) Mean and median(b) Median and mode(c) Mode only(d) Mean and modeCorrect Answer: (d) Mean and modeSolution:Mean of the scores = 202/15 Mean of the correct scores = 200/15 i.e., Mean changes. Median is same for both cases i.e., 14. Mode is proportional to mean.108. For 10 observations on price (x) and supply (y), the following data was obtained :(a) y = 0.91x + 8.74(b) y = 1.02x + 8.74(c) y = 1.02x - 7.02(d) y = 0.91x - 7.02Correct Answer: (b) y = 1.02x + 8.74Solution:109. In a study of two groups, the following results were obtained:GroupGroupABSample Size2025Sample mean2223Sample standard deviation1012Which of the following statements is correct?(a) Group A is less variable than Group B because Group A's standard deviation is smaller.(b) Group A is less variable than Group B because Group A's sample size is smaller.(c) Group A is less variable than Group B because Group A's sample mean is smaller.(d) Group A is less variable than group B because Group A's coefficient of variation is smaller.Correct Answer: (d) Group A is less variable than group B because Group A's coefficient of variation is smaller.Solution:110. Consider the following statements in respect of class intervals of grouped frequency distribution:1. Class intervals need not be mutually exclusive. 2. Class intervals should be exhaustive. 3. Class intervals need not be of equal width.Which of the above statements are correct?(a) 1 only 2 only(b) 2 and 3 only(c) 1 and 3 only(d) 1,2 and 3Correct Answer: (b) 2 and 3 onlySubmit Quiz« Previous123456789101112Next »