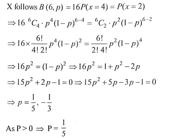
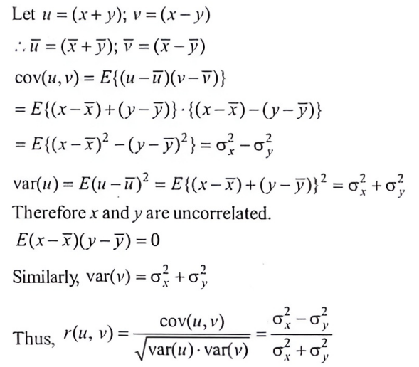
NDA/NA SOLVED PAPER 2016-II (MATHEMATICS)Total Questions: 120111. A medicine is known to be 75% effective to cure a patient. If the medicine is given to 5 patients, what is the probability that at least one patient is cured by this medicine?(a)(b)(c)(d)Correct Answer: (c)Solution:112. Solve the following equation(a) 3/7(b) 3/4(c) 1/3(d) 4/7Correct Answer: (a) 3/7Solution:113. A machine has three parts, A, B and C, whose chances of being defective are 0.02, 0.10 and 0.05 respectively. The machine stops working if any one of the parts becomes defective. What is the probability that the machine will not stop working?(a) 0.06(b) 0.16(c) 0.84(d) 0.94Correct Answer: (c) 0.84Solution:114. Three independent events, A₁ A₂ and A₃ occur with probabilities P(Aᵢ) = 1/(1 + i), i = 1, 2, 3. What is the probability that at least one of the three events occurs?(a) 1/4(b) 2/3(c) 3/4(d) 1/24Correct Answer: (c) 3/4Solution:115. Two variates, x and y, are uncorrelated and have standard deviations δₓ and δ🇾 respectively. What is the correlation coefficient between x + y and x - y ?(a)(b)(c)(d)Correct Answer: (c)Solution:116. A random sample of 20 people is classified in the following table according to their ages:AgeFrequency15-25225-35435-45645-55555-653What is the mean age of this group of people?(a) 41.0(b) 41.5(c) 42.0(d) 42.5Correct Answer: (b) 41.5Solution:117. If the covariance between x and y is 30, variance of x is 25 and variance of y is 144, then what is the correlation coefficient?(a) 0.4(b) 0.5(c) 0.6(d) 0.7Correct Answer: (b) 0.5Solution:118. A coin is tossed three times. Consider the following events:A: No head appears B: Exactly one head appears C: At least two heads appearWhich one of the following is correct?(a) (A ∪ B) ∩ (A ∪ C) = B ∪ C(b) (A ∩ B') ∪ (A ∩ C') = B' ∪ C'(c) A ∩ (B' ∪ C') = B' ∩ C'(d) A ∩ (B' ∪ C') = B' ∩ C'Correct Answer: (d) A ∩ (B' ∪ C') = B' ∩ C'Solution:119. In a series of 3 one-day cricket matches between teams A and B of a college, the probability of team A winning or drawing are 1/3 and 1/6 respectively. If a win, loss or draw gives 2, 0 and 1 point respectively, then what is the probability that team A will score 5 points in the series?(a) 17/18(b) 11/12(c) 1/12(d) 1/18Correct Answer: (d) 1/18Solution:120. Let the random variable X follow B (6, p). If 16 P(X = 4) = P(X = 2) then what is the value of p?(a) 1/3(b) 1/4(c) 1/5(d) 1/6Correct Answer: (c) 1/5Solution:Submit Quiz« Previous123456789101112