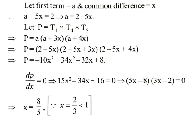
NDA/NA SOLVED PAPER 2016-II (MATHEMATICS)Total Questions: 12011. What is the number of distinct solutions of the equation z² + |z| =0( where z is a complex number)?(a) One(b) Two(c) Three(d) FiveCorrect Answer: (c) ThreeSolution: 12. How many geometric progressions is/are possible containing 27, 8 and 12 as three of its/their terms?(a) One(b) Two(c) Four(d) Infinitely manyCorrect Answer: (d) Infinitely manySolution:13. Let R be a relation from A = {1, 2, 3, 4} to B = {1, 3, 5} such that R=[ (a, b) : a < b where a ∈ A and b ∈ B ] . What is RoR⁻¹ equal to?(a) {(1, 3), (1, 5), (2, 3), (2, 5), (3, 5), (4, 5)}(b) {(3, 1), (5, 1), (3, 2), (5, 2), (5, 3), (5, 4)}(c) {(3, 3), (3, 5), (5, 3), (5, 5)}(d) {(3, 3), (3, 4), (4, 5)}Correct Answer: (c) {(3, 3), (3, 5), (5, 3), (5, 5)}Solution:R = {(1, 3), (1, 5), (2, 3), (2, 5), (3, 5), (4, 5)} R⁻¹ = {(3, 1), (5, 1), (3, 2), (5, 2), (5, 3), (5, 4)} RoR⁻¹={(3, 3), (3, 5), (5, 3), (5, 5)}.14. A five-digit number divisible by 3 is to be formed using the digits 0, 1, 2, 3 and 4 without repetition of digits. What is the number of ways this can be done?(a) 96(b) 48(c) 32(d) No number can be formedCorrect Answer: (d) No number can be formedSolution:Since sum of digits = 10 (which is not divisible by 3) ∴ No numbers can be formed.15. Solve the following equation(a)(b)(c)(d)Correct Answer: (a)Solution:16. What is the value of ab?Let a, x, y, z, b be in AP, where x + y + z = 15 . Let a, p, q, r, b be in HP, where p⁻¹ + q⁻¹ + r⁻¹ = 5/3(a) 10(b) 9(c) 8(d) 6Correct Answer: (b) 9Solution:17. What is the value of xyz?Let a, x, y, z, b be in AP, where x + y + z = 15 . Let a, p, q, r, b be in HP, where p⁻¹ + q⁻¹ + r⁻¹ = 5/3(a) 120(b) 105(c) 90(d) Cannot be determinedCorrect Answer: (b) 105Solution:18. What is the value of pqr?Let a, x, y, z, b be in AP, where x + y + z = 15 . Let a, p, q, r, b be in HP, where p⁻¹ + q⁻¹ + r⁻¹ = 5/3(a) 35/243(b) 81/35(c) 243/35(d) Cannot be determinedCorrect Answer: (c) 243/35Solution:19. What is the common difference of the AP so that the product of the first, fourth and fifth terms is greatest?The sixth term of an AP is 2 and its common difference is greater than 1.(a) 8/5(b) 9/5(c) 2(d) 11/5Correct Answer: (a) 8/5Solution:20. What is the first term of the AP so that the product of the first, fourth and fifth terms is greatest?The sixth term of an AP is 2 and its common difference is greater than 1.(a) -4(b) -6(c) -8(d) -10Correct Answer: (b) -6Solution:Since, a = 2 - 5x ⇒ a = 2 - 5(8/5) ⇒ a = - 6Submit Quiz« Previous123456789101112Next »