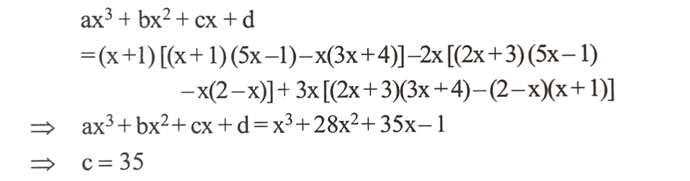
NDA/NA SOLVED PAPER 2016-II (MATHEMATICS)Total Questions: 12021. What is the value of c?(a) -1(b) 34(c) 35(d) 50Correct Answer: (c) 35Solution:22. What is the value of a + b + c + d ?(a) 62(b) 63(c) 65(d) 68Correct Answer: (b) 63Solution:a + b + c + d = 6323. How many possible values can n have?The interior angles of a polygon of n sides are in AP. The smallest angle is 120° and the common difference is 5°.(a) One(b) Two(c) Three(d) Infinitely manyCorrect Answer: (a) OneSolution:Here, a = 120 deg and d = 5 . Sum of angles of polygon = (n - 2) 180° ⇒ n/2 [2a + (n - 1) d] = (n - 2) 180°24. What is the largest interior angle of the polygon?The interior angles of a polygon of n sides are in AP. The smallest angle is 120° and the common difference is 5°.(a) 160° only(b) 195° only(c) Either 160° or 195°(d) Nither 160 nor 195°Correct Answer: (a) 160° onlySolution:25. Solve the following equation(a) -1(b) 0(c) 1(d) 2Correct Answer: (c) 1Solution:26. Solve the following equation1. f(θ) × f(Φ) = f(θ + Φ) 2. The value of the determinant of the matrix f(θ) × f(Φ) is 1. 3. The determinant of f(x) is an even function.Select the correct answer using the code given below:(a) 1 and 2 only(b) 2 and 3 only(c) 1 and 3 only(d) 1, 2 and 3Correct Answer: (d) 1, 2 and 3Solution:27. Which of the following are correct in respect of the system of equations x + y + z = 8 x - y + 2z = 6 and 3x - y + 5z = k ?1. They have no solution. k = 15 2. They have infinitely many solutions, k = 20 3. They have unique solution, k = 25Select the correct answer using the code given below:(a) 1 and 2 only(b) 2 and 3 only(c) 1 and 3 only(d) 1, 2 and 3Correct Answer: (a) 1 and 2 onlySolution: 28. Solve the following equation1. AB(A⁻¹ B⁻¹) is a unit matrix. 2. (AB)⁻¹ = A⁻¹ B⁻¹Select the correct answer using the code given below:(a) 1 only(b) 2 only(c) Both 1 only 2(d) Neither 1 nor 2Correct Answer: (d) Neither 1 nor 2Solution:29. Solve the following equation(a)(b)(c)(d)Correct Answer: (b)Solution:30. If the number 235 in decimal system is converted into binary system, then what is the resulting number ?(a) (11110011)₂(b) (11101011)₂(c) (11110101)₂(d) (11011011)₂Correct Answer: (b) (11101011)₂Solution:Submit Quiz« Previous123456789101112Next »