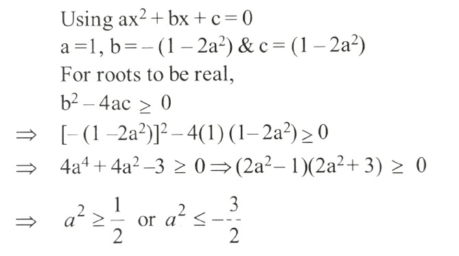
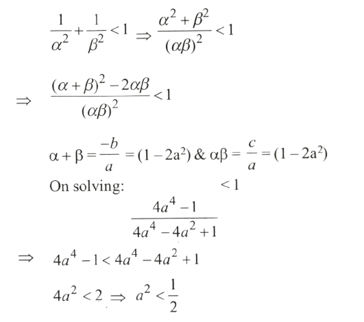
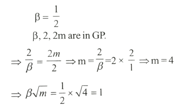
NDA/NA SOLVED PAPER 2016-II (MATHEMATICS)Total Questions: 12031. Under what condition does the above equation have real roots ?Let alpha and beta be the roots of the equation x² - (1 - 2a²) x + (1 - 2a²) = 0(a)(b)(c)(d)Correct Answer: (d)Solution:32. Under what condition is 1/α² + 1/β² < 1 ?Let alpha and beta be the roots of the equation x² - (1 - 2a²) x + (1 - 2a²) = 0(a)(b)(c)(d)Correct Answer: (a)Solution:33. Solve the following equation(a) 1(b) ω(c) ω²(d) iω, where i = √-1Correct Answer: (b) ωSolution:34. In an examination, 70% students passed in Physics, 80% students passed in Chemistry, 75% students passed in Mathematics and 85% students passed in Biology, and X% students failed in all the four subjects. What is the minimum value of x ?(a) 10(b) 12(c) 15(d) None of the aboveCorrect Answer: (c) 15Solution:Here, maximum number of students failed in all the four subject = 15% But, minimum number of students failed in all the four subject varies from 0 to 15%. So, correct option is (d).35. Under what condition does the above system of equations have infinitely many solutions?For the system of linear equations 2x + 3y + 5z = 9 7x + 3y -2z = 8 and 2x + 3y + ʎz = mμ(a) ʎ = 5 and mμ ≠ 9(b) ʎ = 5 and mμ = 9(c) ʎ = 9 and mμ = 5(d) ʎ = 9 and mμ ≠ 5Correct Answer: (b) ʎ = 5 and mμ = 9Solution:36. Under what condition does the above system of equations have unique solutions?For the system of linear equations 2x + 3y + 5z = 9 7x + 3y -2z = 8 and 2x + 3y + ʎz = mμ(a) ʎ = 5 and mµ = 9(b) ʎ ≠ 9 and mµ = 7 only(c) ʎ ≠ 5 and µ has any real value(d) A has any real value and mµ ≠ 9Correct Answer: (c) ʎ ≠ 5 and µ has any real valueSolution:37. What is the number of odd integers between 1000 and 9999 with no digit repeated?(a) 2100(b) 2120(c) 2240(d) 3331Correct Answer: (c) 2240Solution:38. What is the greatest value of the positive integer n satisfying the condition(a) 8(b) 9(c) 10(d) 11Correct Answer: (c) 10Solution:39. What is the value of alpha ?2x² + 3x - α - 0 has roots -2 and β while the equation x² -3mx + 2m² = 0 has both roots positive, where α > 0 and β > 0.(a) 1/2(b) 1(c) 2(d) 4Correct Answer: (c) 2Solution:40. If β, 2, 2m are in GP, then what is the value of β√m ?2x² + 3x - α - 0 has roots -2 and β while the equation x² -3mx + 2m² = 0 has both roots positive, where α > 0 and β > 0.(a) 1(b) 2(c) 4(d) 6Correct Answer: (a) 1Solution:Submit Quiz« Previous123456789101112Next »