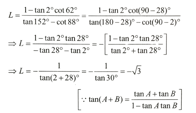
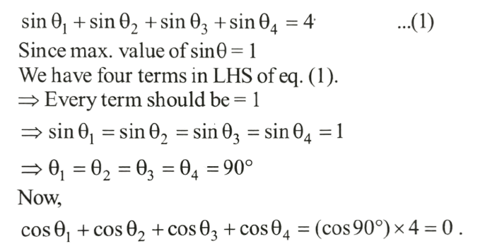
NDA/NA SOLVED PAPER 2016-II (MATHEMATICS)Total Questions: 12041. sin A + 2sin 2A + sin 3A is equal to which of the following?(a) 1 and 2 only(b) 2 and 3 only(c) 1 and 3 only(d) 1,2 and 3Correct Answer: (c) 1 and 3 onlySolution: 42. If x = sin 70⁰ . sin 50⁰ and y = cos 60⁰ . cos80⁰ , then what is xy equal to ?(a) 1/16(b) 1/8(c) 1/4(d) 1/2Correct Answer: (a) 1/16Solution:43. If sin θ₁ +sin θ₂ +sin θ₃ +sin θ₄ = 4, then what is the value of cos θ₁ + cos θ₂ + cos θ₃ +cos θ₄ =?(a) 0(b) 1(c) 2(d) 4Correct Answer: (a) 0Solution:44. What is the value of(a)(b)(c)(d)Correct Answer: (d)Solution: 45. If x cosθ + y sinθ = z, then what is the value of (x sinθ - y cosθ)² ?(a) x² + y² - z²(b) x² - y² - z²(c) x² - y² + z²(d) x² + y² + z²Correct Answer: (a) x² + y² - z²Solution:46. What is the value of cos( 2cos⁻¹(0.8) ?(a) 0.81(b) 0.56(c) 0.48(d) 0.28Correct Answer: (d) 0.28Solution:47. The top of a hill when observed from the top and bottom of a building of height h is at angles of elevation p and q respectively. What is the height of the hill?(a)(b)(c)(d)Correct Answer: (b)Solution: 48. Solve the following equation(a)(b)(c)(d)Correct Answer: (a)Solution:49. A moving boat is observed from the top of a cliff of 150 m height. The angle of depression of the boat changes from 60° to 45° in 2 minutes. What is the speed of the boat in metres per hour?(a)(b)(c)(d)Correct Answer: (b)Solution:50. Solve the following equation(a) √3(b) - √3(c) √2 - 1(d) 1 - √2Correct Answer: (b) - √3Solution:Submit Quiz« Previous123456789101112Next »