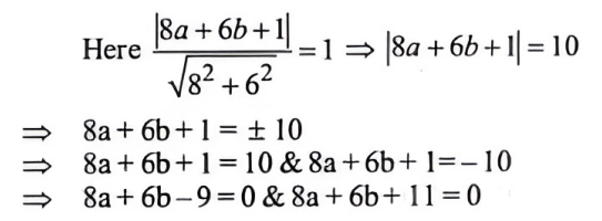
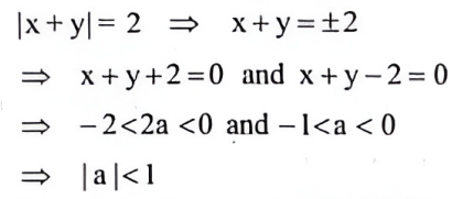
NDA/NA SOLVED PAPER 2016-II (MATHEMATICS)Total Questions: 12051. An equilateral triangle has one vertex at (0, 0) and another at (3, √3) . What are the coordinates of the third vertex?(a) (0, 2√3) only(b) (3, - √3) only(c) (0, 2√3) or (3, - √3)(d) Neither (0, 2√3) nor (3, - √3)Correct Answer: (c) (0, 2√3) or (3, - √3)Solution:52. What is the equation of the right bisector of the line segment joining (1, 1) and (2, 3)?(a) 2x + 4y - 11 = 0(b) 2x - 4y - 5 = 0(c) 2x - 4y - 11 = 0(d) x - y + 1 = 0Correct Answer: (a) 2x + 4y - 11 = 0Solution:53. What is the radius of the circle passing through the point (2, 4) and having centre at the intersection of the lines x - y = 4 and 2x + 3y + 7 = 0 ?(a) 3 units(b) 5 units(c) 3√3 units(d) 5√2 unitsCorrect Answer: (d) 5√2 unitsSolution:54. What is the equation of the hyperbola having latus rectum and eccentricity 8 and 3/√5 respectively?(a)(b)(c)(d)Correct Answer: (a)Solution:55. If the point (a, a) lies between the lines |x + y| = 2 then which one of the following is correct?(a) |a| < 2(b) |a| < √2(c) |a| < 1(d) |a| < 1/√2Correct Answer: (c) |a| < 1Solution:56. What is the equation of the straight line which passes through the point of intersection of the straight lines x + 2y = 5 and 3x + 7y = 17 and is perpendicular to the straight line 3x + 4y = 10?(a) 4x + 3y + 2 = 0(b) 4x - y + 2 = 0(c) 4x - 3y - 2 = 0(d) 4x - 3y + 2 = 0Correct Answer: (d) 4x - 3y + 2 = 0Solution:57. If (a, b) is at unit distance from the line 8x + 6y + 1 = 0 then which of the following conditions are correct?1. 3a - 4b - 4 = 0 2. 8a + 6b + 11 = 0 3. 8a + 6b - 9 = 0Select the correct answer using the code given below:(a) 1 and 2 only(b) 2 and 3 only(c) 1 and 3 only(d) 1,2 and 3Correct Answer: (b) 2 and 3 onlySolution:58. If the ellipse 9x² + 16y² = 144 intercepts the line 3x + 4y = 12 then what is the length of the chord so formed?(a) 5 units(b) 6 units(c) 8 units(d) 10 unitsCorrect Answer: (a) 5 unitsSolution:59. A straight line cuts off an intercept of 2 units on the positive direction of x-axis and passes through the point (-3, 5). What is the foot of the perpendicular drawn from the point (3, 3) on this line?(a) (1, 3)(b) (2, 0)(c) (0, 2)(d) (1, 1)Correct Answer: (d) (1, 1)Solution: 60. What is the eccentricity of rectangular hyperbola?(a) √2(b) √3(c) √5(d) √6Correct Answer: (a) √2Solution:Submit Quiz« Previous123456789101112Next »