NDA/NA SOLVED PAPER 2016-II (MATHEMATICS)

Total Questions: 120

61. Consider the following:

Let Q be the image of the point P(- 2, 1, - 5) in the plane 3x - 2y + 2z + 1 = 0

1. The coordinates of Q are (4, -3, -1).
2. PQ is of length more than 8 units.
3. The point (1, -1, -3) is the mid-point of the line segment PQ and lies on the given plane.

Which of the above statements are correct?

Correct Answer: (d) 1, 2 and 3
Solution:

62. Consider the following:

Let Q be the image of the point P(- 2, 1, - 5) in the plane 3x - 2y + 2z + 1 = 0

1. The direction ratios of the line segment PQare < 3, - 2, 2 >
2. The sum of the squares of direction cosines of the line segment PQ is unity.

Which of the above statements is/are correct?

Correct Answer: (c) Both1 and 2
Solution:From (i) above, I is correct.
We know that,
Sum of direction cosines of the line segment PQ = 1.

63. What are the direction ratios of the line of intersection of the given planes?

A line L passes through the point P(5, - 6, 7) and is parallel to the planes x + y + z = 1 and 2x - y - 2z = 3

Correct Answer: (c)
Solution:

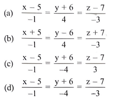
64. What is the equation of the line L?

Correct Answer: (a)

65. Solve the following equation


Correct Answer: (a)
Solution:

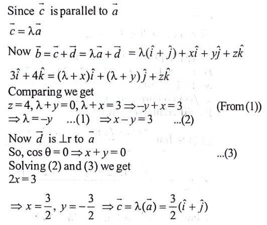
66. Solve the following equation



1. y - x = 4
2. 2z - 3 = 0

Select the correct answer using the code given below:

Correct Answer: (d) Neither 1 nor 2
Solution:Since z = 4 and x = 3/2, y = -3/2. So, neither 1 nor 2 is correct.

67. Solve the following equation


Correct Answer: (b)
Solution:

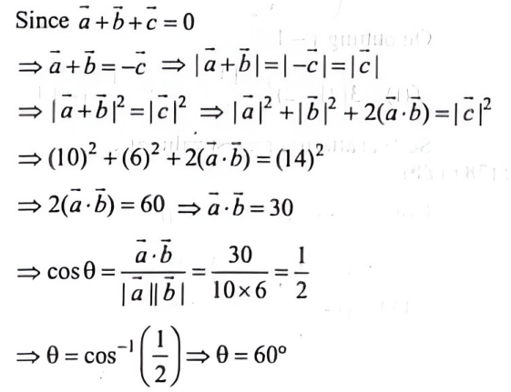
68. Solve the following equation


Correct Answer: (c)
Solution:

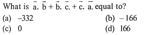
69. Solve the following equation

Correct Answer: (b)
Solution:

70. Solve the following equation

Correct Answer: (c)
Solution: