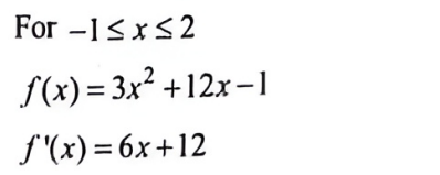
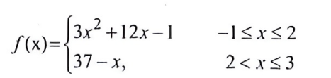
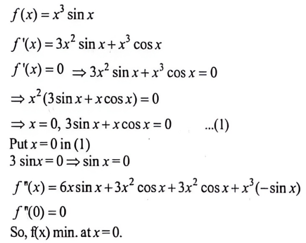
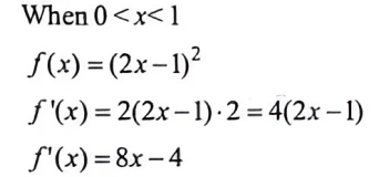
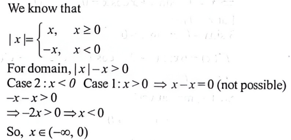
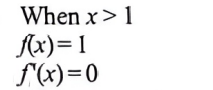
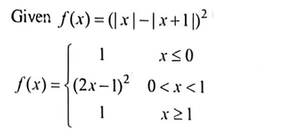
NDA/NA SOLVED PAPER 2016-II (MATHEMATICS)Total Questions: 12071. Solve the following equation(a)(b)(c)(d)Correct Answer: (a)Solution:72. Consider the following in respect of the function(a) 1 only(b) 3 only(c) 2 and 3 only(d) 1 and 3 onlyCorrect Answer: (b) 3 onlySolution: 73. Solve the following equation(a)(b)(c)(d)Correct Answer: (a)Solution:74. Which one of the following statements is correct in respect BOLTE of the function f(x) = x³ sin x ?(a) It has local maximum at x = 0(b) It has local minimum at x = 0(c) It has neither maximum nor minimum at x = 0(d) It has maximum value 1.Correct Answer: (b) It has local minimum at x = 0Solution:75. What is the area bounded by the curves |y| = 1 - x² ?(a) 4/3 square units(b) 8/3 square units(c) 4 square units(d) 16/3 square unitsCorrect Answer: (b) 8/3 square unitsSolution:76. Which of the following statements is/are correct? 1. f(x) is increasing in the interval [-1, 2]. 2. f(x) is decreasing in the interval (2, 3].Select the correct answer using the code given below:(a) 1 only(b) 2 only(c) Both 1 and 2(d) Neither 1 nor 2Correct Answer: (c) Both 1 and 2Solution: 77. Which of the following statements are correct? 1. f(x) is continuous at x = 2 . 2. f(x) attains greatest value at x = 2 . 3. f(x) is differentiable at x = 2.Select the correct answer using the code given below:(a) 1 and 2 only(b) 2 and 3 onlyd(c) 1 and 3 only(d) 1,2 and 3Correct Answer: (a) 1 and 2 onlySolution: 78. What is f'(x) equal to when x > 1 ?Let f(x) = [|x| - |x - 1|]²(a) 0(b) 2x - 1(c) 4x -2(d) 8x -4Correct Answer: (a) 0Solution: 79. What is f'(x) equal to when 0 < x < 1 ?Let f(x) = [|x| - |x - 1|]²(a) 0(b) 2x - 1(c) 4x -2(d) 8x - 4Correct Answer: (d) 8x - 4Solution:80. Which of the following equations is/are correct ?Let f(x) = [|x| - |x - 1|]²1. f(- 2) = f(5) 2. f'' prime prime (-2)+f'' prime prime (0.5)+f'' prime prime (3) = 4Select the correct answer using the code given below:(a) 1 only(b) 2 only(c) Both 1 and 2(d) Neither 1 nor 2Correct Answer: (a) 1 onlySolution:Submit Quiz« Previous123456789101112Next »