NDA/NA SOLVED PAPER 2016-II (MATHEMATICS)

Total Questions: 120

81. Which of the following statements is correct?

Let f(x) = [x] where [.] is the greatest integer function and g(x) = sin x be two real valued functions over R.

Correct Answer: (c) g(x) is continuous at x = 0 , but f(x) is not continuous at x = 0
Solution:

82. Which one of the following statements is correct?

Let f(x) = [x] where [.] is the greatest integer function and g(x) = sin x be two real valued functions over R.

Correct Answer: (d)
Solution:

83. Which of the following statements are correct?

Let f(x) = [x] where [.] is the greatest integer function and g(x) = sin x be two real valued functions over R.

1. (fof) (x) = f(x)
2. (gog)(x) = g(x) only when x = 0 .
3. (go(fog))(x) can take only three values.

Select the correct answer using the code given below:

Correct Answer: (c) 1 and 3 only
Solution:


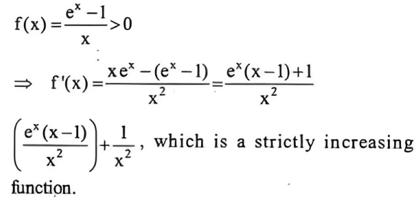
84. Which one of the following statements is correct?

Correct Answer: (b) f(x) is a strictly increasing function in (0, x)
Solution:

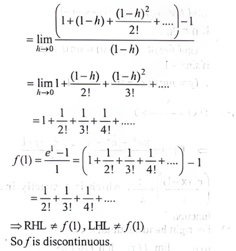
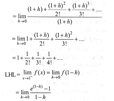
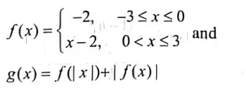
85. Which of the following statements is/are correct?


1. f(x) is right continuous at x = 0
2. f(x) is discontinuous at x = 1

Select the correct answer using the code given below:

Correct Answer: (b) 2 only
Solution:



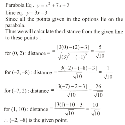
86. What are the coordinates of the point on the parabola which is closest to the straight line?

Consider the parabola y = x² + 7x + 2 and the straight line y = 3x - 3

Correct Answer: (b) (-2, -8)
Solution:

87. What is the shortest distance from the above point on the parabola to the line?

Consider the parabola y = x² + 7x + 2 and the straight line y = 3x - 3

Correct Answer: (c)

88. Which of the following statements is/are correct?


1. g(x) is differentiable at x = 0
2. g(x) is differentiable at x = 2 .

Select the correct answer using the code given below:

Correct Answer: (d) Neither 1 nor 2
Solution:



89. What is the value of the differential coefficient of g(x) at x = - 2 ?

Correct Answer: (b) 0
Solution:

90. Which of the following statements are correct?


1. g(x) is continuous at x = 0
2. g(x) is continuous at x = 2
3. g(x) is continuous at x = - 1

Select the correct answer using the code given below:

Correct Answer: (d) 1, 2 and 3
Solution: