NTA UGC NET/JRF Exam, August -2024 (Electronic Science)

Total Questions: 100

91. Read the following passage and answer the following questions.

Mobile telephone services began in the 1940's and were called MTS's (Mobile Telephone Systems or sometimes manual telephone systems, as all calls were handled by an operator). MTS systems utilized frequency modulation and were generally assigned a single carrier frequency in the 35 MHz to 45 MHz range that was used by both the mobile unit and the base station.

Cellular telephone systems offer a relatively high user capacity within a limited frequency spectrum providing a significant innovation in solving inherent mobile telephone communication problems, such as spectral congestion and user capacity.

Cellular telephone systems replaced mobile systems serving large area (cells) operating with a single base station and a single high power transmitter with many smaller area (cells), each cell with its own base station and low power transmitters.
Telephone Traffic in measured:

Correct Answer: D. In Erlangs
Solution:

Telephone traffic intensity is measured in Erlangs (a dimensionless unit corresponding to offered load in circuits hours).

92. Number of cells in a cluster in hexagonal cellular communication system with i = 3 and j = 2, will be:

Correct Answer: C. 19
Solution:For a hexagonal cellular system with
i = 3 and j = 2, the cluster size is
N = i² + ij + j²
= 32 + (3 × 2) + 2²
= 9 + 6 + 4 = 19.

93. GSM (Global systems for Mobile Communication), bands for Phase I and II operates respectively at:

Correct Answer: A. 900 MHz and 1800 MHz
Solution:

The original GSM "Phase I" band is around 900 MHz, and GSM "Phase II" (sometimes called DCS1800) is around 1800 MHz.

94. To increase the capacity of a cellular system which of the following is used?

Correct Answer: A. Cell splitting and cell sectoring

95. What will be total capacity of a cellular telephone system comprising of 10 clusters with 7 cells in each clusters and there are 10 channels in each cell.

Correct Answer: B. 700
Solution:

If the system has 10 clusters, each of which has 7 cells, and each cell provides 10 channels, the total number of channels is
10 × 7 × 10 = 700.

96. Read the following passage and answer the following questions.

A signal x(t) is a continuous - time signal if it is a continuous variable. A discrete time signal is often identified as a sequence of numbers denoted by x[n] where n is an integer. The z-transform is a useful tool in the analysis of discrete time signal and systems.

A sequence can be represented in terms of linear combination of complex exponentials using Discrete Time Fourier Transform (DTFT), however for finite length sequence there is another representation called the Discrete Fourier Transform (DFT). DFT is used to perform digital filtering and evaluating the frequency response of a linear shift-invariant system.
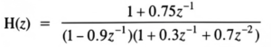
The signal flow graph of a causal linear shift invariant filter is given below:Using the concept of cascade of first and second order systems realized in direct form II, the expression of H(z) is:

Correct Answer: C.
Solution:

From the given signal-flow diagram (realized in direct form II), the first-order section contributes a numerator factor 1+ 0.75 z⁻¹ and a denominator factor 1 - 0.9 z⁻¹. The second-order section has a denominator 1 + 0.3 z⁻¹ + 0.7 z⁻². Cascading these yields:Hence option (C) is correct.

97. For given sequence i.e.,

x₁(n) = 8(n) + 8(n 1) - 8(n - 2) - 8(n - 3)
x₂(n) = 8(n)- 8(n - 2) + d(n - 4) Given, N = 5
The circular convolution X₃(n), of the two sequences shall be:

Correct Answer: D. x₃ (n) = {3, 0, -3, -2, 2}
Solution:(5-point circular convolution)
Labeling

98. In order to recover a finite length sequence x[n] of length N from equally spaced samples of fourier transform, the minimum number of samples of fourier transform to be taken is:

Correct Answer: A. N
Solution:

A length N sequence x[n] is exactly specified by N equally spaced frequency samples of its DTFT, which is precisely what the N-point DFT and its inverse accomplish. Thus the minimum number of samples needed is N.

99. A discrete time signal x[n] is represented as:

Which of the following correspond to x[-n +2].

Correct Answer: D.
Solution:

The time-reversal-plus-shift operation x[-n + 2] can be seen by setting m = -n + 2. In effect, one first "flips" the original sequence about n = 0 (to get x[-n]) and then shifts it to the right by 2 (making it x[2 - n]). A quick check is that the sample originally at n = 2 moves to n = 0, the one at n = 1 stays at n = 1, etc. Graphically, choice (D) matches this reflected-and-shifted sequence.

100. The output y(t) of a continuous - time LTI system is found to be 4e⁻³ᵗ u(t), when the input x(t) is u(t). If the input x(t) is e⁻ᵗ u(t) then y(t) is:

Correct Answer: B. (-2e⁻ᵗ + 6e⁻³ᵗ) u(t)
Solution:

Let the system's step-response (outputfor input u(t) be
yₛ(t) = 4e⁻³ᵗu(t)
The its impulse response h(t) is the derivative of yₛ(t) (including the jump at t = 0), namely