NTA UGC NET/JRF Exam, (Cancelled) June-2024 Economics

Total Questions: 100

31. Which of the following variables are considered in computing Human Poverty Index?

A. The adult literacy rate
B. Life expectancy at birth
C. Percentage of under weight children under five years old
D. Standard of living measured by real PCY at PPP E. Percentage of the population without access to safe water
Choose the most appropriate answer from the options given below:

Correct Answer: (e) (*)
Solution:

Human Poverty Index dimensions-
(1) A long and healthy life Vulnerability to death at a relatively early age, as measured by the probability at birth of not surviving to age 60.shaped as right angles.
(2) Knowledge
(3) A decent standard of living
(4) Social exclusion
So, in this given question statement only A, B and D is correct.

32. Suppose the initial equilibrium level of GDP is $1000 Billion. If MPC is 0.75 and Government spending increases by $100 billion, then expenditure multiplier and new level of GDP respectively will be:

Correct Answer: (d) 4,$1400 Billion
Solution:

33. Which of the following effects are likely to be inversely related to the tariff rate?

A. Production effect
B. Consumption effect
C. Revenue effect
D. Trade effect
E. Both production and consumption effect
Choose the most appropriate answer from the options given below:

Correct Answer: (a) B and D only
Solution:

Consumption effect and trade effects are inversely related to the tariff rate. Consumption effect is to reduce the consumption of the commodity on which tariff is imposed.

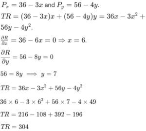
34. Solve the following equation ?


Determine the maximum revenue.

Correct Answer: (b) 304
Solution:

35. Solve the following equation ?

Correct Answer: (a) 3x²- 2x - 21 = Y
Solution:

36. As per SEBI's data on green debt securities, during period of 2017 to September 2022, how many Indian Corporates issued green bonds?

Correct Answer: (b) 15
Solution:

As per SEBI's data on green debt securities, during period of 2017 to September 2022, there are 16 Indian Corporate issued green bonds. So, in this 15 is the nearest option.

37. If the expectation augmented - Phillips curve equation is given as W = f(U) + ẞPᵉ, then which of the following statement will be true:

A. If ẞ = 1, then there is no trade-off between inflation and unemployment.
B. If ẞ = 0, then the phillips curve will be vertical.
C. -1 <B < +1
D. If ẞ > 0, then the long run Phillips curve will be Steeper than the short-run one.
E. Keynsian Phillips curve assumes ẞ = 0/
Choose the correct answer from the options given below:

Correct Answer: (e) (*)
Solution:

If ẞ = 1, then there is no trade-off between inflation and unemployment. If ẞ = 1, it implies that the actual inflation rate equals the expected inflation rate. meaning that any attempt to reduce unemployment below its natural rate will only result in higher inflation without reducing unemployment in the long run.

This aligns with the concept of the natural rate of unemployment where there is no long term trade-off between inflation and unemployment.

38. Arrange the following states in ascending order based on the forest cover (square kilometer) in the vear of 2021:

A. Bihar
B. Assam
C. Himachal Pradesh
D. Jammu and Kashmir
E. Kerala
Choose the correct answer from the options given below:

Correct Answer: (e) (*)
Solution:
S.No.StateArea
1.Kerala38852 square km
2.Jammu & Kasmir54624 km²
3.Himachal Pradesh55673 km²
4.Assam78435 km²
5.Bihar94163 km²

39. In the following simultaneous equation models,


Based on the rank condition find the equation (2) is ________ .

Correct Answer: (b) Over identified
Solution:


Over identified.

40. According to the life cycle theory of consumption:

A. Consumption is constant throughout the life span
B. Consumers consume more while earning
C. Saving is the constant throughout the life span
D. Retirement consumption is entirely financed through dissaving
E. Consumption keeps increasing with age
Choose the correct answer from the options given below:

Correct Answer: (b) A and D only
Solution:

The theory states that individuals seek to smooth consumption throughout their lifetime by borrowing when their income is low and saving when their income is high. The concept was developed by economists Franco modigliani and his student Richard Brumberg in the early 1950 s. According to the life cycle theory of consumption;
(1) Consumption is constant throughout the life span.
(2) Retirement consumption is entirely financial through dissaving.