NTA UGC NET/JRF Exam, (Cancelled) June-2024 Economics

Total Questions: 100

51. In the short run which of the following always gets smaller as output increases?

Correct Answer: (a) Average Fixed Cost
Solution:


Average Cost: Average fixed cost + Average Variable Cost
• AFC is rectangular Hyperbola (decrease but never touch any axis).

52. If Nation 1 has 100L + 150K and Nation 2 has 1000L + 1000K, then which of the following is correct?

Correct Answer: (e) (*)
Solution:

Nation 1 → 100 L + 150 K
Nation 2→ 1000 L + 1000 K
If we will measure in relative term the Nation 1 is capital rich country & If we measure in absolute term then National 2 is capital rich as well as Labour rich.

53. Arrange the YOY growth of Broad Money (M₃) from FY18 to FY22 is ascending order:/

A. Broad Money (M₃) is FY18
B. Broad Money (M₃) is FY19
C. Broad Money (M₃) is FY20
D. Broad Money (M₃) is FY21
E. Broad Money (M₃) is FY22
Choose the correct answer from the options given below:

Correct Answer: (e) (*)
Solution:

Arrangement of YOY growth of broad money (m3) from FY18 to FY22 in ascending order.
→ In Lakh crore.
(A) Broad money (M₃) in FY18 - 146 Lakh crore.
(B) Broad money (M₃) in FY19 - 161 Lakh crore
(C) Broad money (M₃) in FY20 - 181 Lakh crore
(D) Broad money (M₃) in FY21 -  197 Lakh crore
(E) Broad money (M3) in FY22 - 215 Lakh crore

54. If the income elasticity of demand for money is low, then which of the following is true?

Correct Answer: (a) Steeper will be the LM curve
Solution:

The LM curve is flatter if the interest elasticity of demand for money is high.
On contrary, the LM curve is steep if the interest elasticity demand for money is low.
The LM Curve shifts to the right when the stock of money is increased and it shifts to the left if the stock of money supply is reduced.

55. Which of the following is not true in case of expansionary fiscal policy?

Correct Answer: (b) Increase of property taxes to check escalating house prices.
Solution:

Increase of property taxes to check escalating house prices is not true in case of expansionary fiscal policy.

56. If GDP (measured in billions of current dollars) is $5465 and the sum of consumption, investment and government purchases is $5496, while exports equal $673; imports are:

Correct Answer: (c) $ 704
Solution:

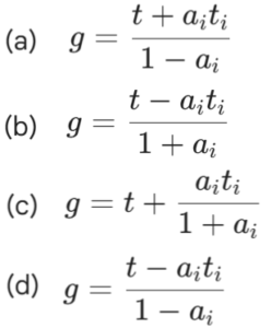
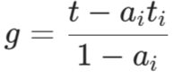
57. Find the correct formula to complete the rate of effective protection.

Correct Answer: (d)
Solution:

Rate of effective Protection-

t → Nominal tariff rate on consumption of final goods.
t→Nominal tariff on imported inputs.
Optimum tariff - t*= 1/e⁻¹
ee = point of elasticity of offer of other country.

58. Which of the following are not true with reference to distortions of corporation tax?

A. Encourage short-lived verses long-lived capitals goods.
B. Encourage investment in assets that can be collaterized compared with those that can not.
C. Encourage investment in Industries having lower debt equity ratios.
D. May give rise to leasing and tax-induced merges
Choose the correct answer from the options given below:

Correct Answer: (e) (*)
Solution:

Encourage investment in industries having lower debt - equity ratios Not true - Corporate taxes

Typically encourage higher debt - equity ratios because interest payments on debt are tax-dedcutible, reducing the overall tax burden. This makes debt financing more attractive compared to equity financing.

59. Under fixed exchange rate system, an increase in domestic interest over foreign interest rate will result in:

Correct Answer: (c) An increase in domestic money supply
Solution:

When, (dr) domestic interest rate is less than world interest rate (Wr) then there will be capital outflow.
(dᵣ <Wᵣ).
And when (dᵣ> Wᵣ); domestic interest rate (dr) is more than World interest rate (Wᵣ) then there will be capital inflow.

  • Capital inflows leads to increase in supply of foreign currency.
  • Under flexilde exchange rate. It leads to appreciation of currency.
  • Under fixed exchange rate, central bank intervene to maintain fixed ER causes money supply to rise.

60. Which of the following is not true in case of intergeneration burden of public debt?

A. Govt. borrowing can crowdout investment which will reduce future output and wages.
B. Future generations may have to bear the burden of paying off the borrowings.
C. External generations may have to bear the burden of paying off the borrowings.
D. Issuing bonds may decrease investment and thus make future generation worse off indirectly.
Choose the correct answer from the options given below:

Correct Answer: (c) C only
Solution:

External indebtness does not reduce future standard of living is incorrect statement.