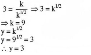
NTA UGC NET/JRF Exam, (Cancelled) June-2024 EconomicsTotal Questions: 10061. In a two-sector economy, autonomous consumption expenditure Cₒ = 50 million, autonomous investment expenditure, Iₒ = ₹ 100 million and b = 0.5. Determine the equilibrium level of consumption, Cₑ, where b = MPC.(a) ₹200 million(b) ₹300 million(c) ₹100 million(d) ₹150 millionCorrect Answer: (a) ₹200 millionSolution: Hence, the equilibrium level of consumption is 200 million.62. Two factors of production, say A and B have the same price. The least cost combination of A and B for producing a given level of output will be achieved at a point where the Isoquant has a slope of:(a) 2(b) 0(c) -1(d) -2Correct Answer: (c) -1Solution:63. The classical proportional relation between money and price will hold in which of the following cases:A. Rigidity of nominal variables B. Perfectly inelastic AS curve C. Rigidity of real variable D. Positive relationship between money supply and production E. Long-run Analysis Choose the correct answer from the options given below:(a) A, D and E only(b) A and E only(c) B and C only(d) B, Cand D only(e) (*)Correct Answer: (e) (*)Solution:Classical proportional relation between money and price will hold in - Perfectly Elastic AS Curve. Rigidity of real variable. Long-Run Analysis.64. Solve the following questions?(a) Number of regressors in the two models taken together.(b) Sample size of the restricted model.(c) Number of explanatory variables dropped in the restricted model.(d) Number of parameters estimated in the restricted model.Correct Answer: (c) Number of explanatory variables dropped in the restricted model.Solution:The F value is calculated using the formula- Where, SSE = residual sum of squares m = number of restrictions. or number of explanatory variables dropped in the restricted model.65. Which of the following is not true in case of deadweight loss of taxes?(a) The deadweight loss of the tax extent to which the reduction in welfare exceeds the revenue raised.(b) Deadweight loss is proportional to the square of the tax rate.(c) Deadweight loss is the tax-induced distorting of commodity taxation.(d) Deadweight loss of commodity taxation is inversely related to the elasticity of demand.Correct Answer: (d) Deadweight loss of commodity taxation is inversely related to the elasticity of demand.Solution:4ᵗʰ Statement is incorrect As the deadweight loss of commodity taxation is directly related to the elasticity of demand.66. Arrange the Maternal Mortality ratio (Per 1 lakh live births) of the following states for the year 2018-20 in ascending order:A. Andhra Pradesh B. Gujrat C. Maharashtra D. Karnataka E. Tamil Nadu Choose the correct answer from the options given below:(a) A, C, B, E, D(b) C, A, E, B, D(c) E, A, C, D, B(d) C, A, B, E, DCorrect Answer: (b) C, A, E, B, DSolution:Maternal mortality ratio (Per 1 lakhs live births) of the following states for the year 2018-20 in ascending order : (C) Maharashtra (A) Andhra Pradesh (E) Tamil Nadu (B) Gujarat (D) Karnataka67. Solve the following question?(a) 9(b) 3(c) √3(d) 0.3Correct Answer: (b) 3Solution: 68. Match List-I with List-II.List-IList-IIA. Elinor OstromI. Tragedy of the commonsB. Johan RockstromII. Integrating climate change into long-run macroeconomic analysisC. Garrett HardinIII. Boundaries of Earth's Life-supportD. William NordhausIV. Analysis of economic governance, especially the commonsChoose the correct answer from the options given below:(a) A-III, B-IV, C-I, D-II(b) A-IV, B-III, C-II, D-I(c) A-IV, B-III, C-I, D-II(d) A-III, B-IV, C-II, D-ICorrect Answer: (c) A-IV, B-III, C-I, D-IISolution:The correct match is as follows:List-I-List-IIA. Elinor Ostrom-Analysis of economic governance, especially the commonsB. Johan Rockstrom-Boundaries of Earth's Life-supportC. Garrett Hardin-Tragedy of the commonsD. William Nordhaus-Integrating climate change into long-run macro economic analysis69. The Rule of thumb to express price dirctly as a mark up over marginal cost is:(a)(b)(c)(d)Correct Answer: (a)Solution:70. Which of the following depicts the Verdoorn's law correctly?(a) There exists a strong positive correlation between the growth of the manufacturing output and the growth of productivity in manufacturing.(b) There exists a strong positive relationship between the growth of manufacturing output and the growth of productivity outside of manufacturing.(c) There exists a strong positive correlation between the growth of manufacturing output and the growth of GDP.(d) There exists a strong negative correlation between the growth of manufacturing output and the growth of GDР.Correct Answer: (a) There exists a strong positive correlation between the growth of the manufacturing output and the growth of productivity in manufacturing.Solution:The Verdoon's law :- There exist a strong positive correlation between the growth of the manufacturing output & the growth of productivity in manufacturing.Submit Quiz« Previous12345678910Next »