NTA UGC NET/JRF Exam, Dec. 2019 Economics (Shift-I)

Total Questions: 95

11. Under Normal Probability Curve, the area within the range of µ – 1.96σ and µ+1.96σ (Where u = mean, σ = standard deviation) is :

Correct Answer: (b) 96%
Solution:

As seen in figure below, the area between - 1.96 and + 1.96 standard deviation is 47.5% + 47.5% = 95%.
Total area under curve is 100% 95% of area lies within plus and minus 1.96 standard deviation of the mean.

12. Solve the following equation.


Correct Answer: (c)
Solution:


2 → 1/2 = 0.5
4 → 1/4 = 0.25
5 → 1/5 = 0.2
1 → 1/1 = 1

13. Boot strapping technique is used to :

Correct Answer: (b) obtain sampling distribution of parameters of interest
Solution:

Boot strapping technique obtain sampling distribution of parameters of interests.
The bootstrap is generally useful for estimating the distribution of a statistics (eg. mean, variance) without using normality assumptions
(as required, e.g. for a z-statistics or a t-statistics).

14. Harrod's growth model is given as under

Sₜ = aYₜ   0<α<1
Iₜ = b[Y-Yₜ₋₁]    b>0
Sₜ = Iₜ
In the model, growth condition is
Sₜ = aYₜ    0 <α < 1
Iₜ = b[Yₜ-Yₜ₋₁]    b>0
Sₜ = Iₜ

Correct Answer: (a)
Solution:

St = ayt
Iₜ = b[Y-Yₜ₋₁]
Sₜ = Iₜ
So,
ayₜ = b (yₜ- Уₜ₋₁)
ayₜ = byₜ - byₜ₋₁
byₜ₋₁ = byₜ - ayₜ
byₜ₋₁ = yₜ (b-a)
b/b-a (y)ₜ₋₁
For growth conditions:-
The growth for yₜ should be greater than yₜ₋₁
So, b/b-a > 1
Income for year yₜ should be more than the income for year yₜ₋₁.

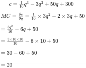
15. The total cost function of the firms is C = 1/10 q³ - 3q²+ 50q + 300 where C = total cost q = output. Marginal cost at q = 10 is: C = 1/10 q³ -3q² +50q+300

Correct Answer: (a) 20
Solution:

16. Solve the following equation:

Correct Answer: (c) It is having zero elasticity of factor substitution
Solution:

In this Cobb-Douglas production function,

If a + B = 1, then it exhibit constant return to scale.
So, 0.7 + 03 = 1 then it is CRS.
features of Cobb-Douglas production function:-
1. It is linear homogenous function.
2. It is a characterized by unit elasticity of substitution
i.e. elasticity of substitution = 1.

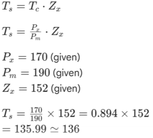
17. If in a given situation Pₓ = 170, Pₘ = 190 and Zₓ = 152, then which of the following will be the value of Single Factoral Terms of Trade (Tₛ):

Correct Answer: (a) 136
Solution:

Single factoral terms of trade (Tₛ) is a ratio of export price index to import price index, adjusted for changes in the productivity of factors used in export production. It is calculated by multiplying the commodity terms of trade (Tc.) by the productivity index of the domestic export (Zx)

18. Which trade policy results is the government levying both a specific tariff and an advalorem tariff on imported goods?

Correct Answer: (c) Compound tariff
Solution:

A compound tariff is a trade policy that results in a government levying both specific and ad valorem tariff on imported goods. A specific tariff is a fixed fee levied on an item based on its type.

For example, a government might impose a $500 tariff on a car. An ad valorem tariff is levied based on the item's value, usually as a percentage of the good's value. For example, a government might impose a 5% ad valorem tariff on an import.

19. Heckscher -Ohlin trade model maintains that :

Correct Answer: (b) A country exports goods for which its resource endowments are most suited
Solution:

Hecksher-Ohlin trade model: This model is also known as the H-O trade model given by Hecksher and Ohlin in 1933 and 1949.

According to this theory. A capital abundant country will export capital intensive goods to other countries and labour abundant country will export labour-intensive goods.

A country export goods for which its resources endowments are most suited.

20. A tax of Rs. 20 per unit of imported cheese would be an example of a/an:

Correct Answer: (b) Specific tariff
Solution:

A tax of Rs. 20 per unit of imported cheese is an example of a specific Tariff expressed as a percentage of the value of the imported goods.
A specific tariff is a tax imposed on a single imported good that is based on a fixed amount per unit.